Официальное опубликование правовых актов
ОФИЦИАЛЬНОЕ ОПУБЛИКОВАНИЕ
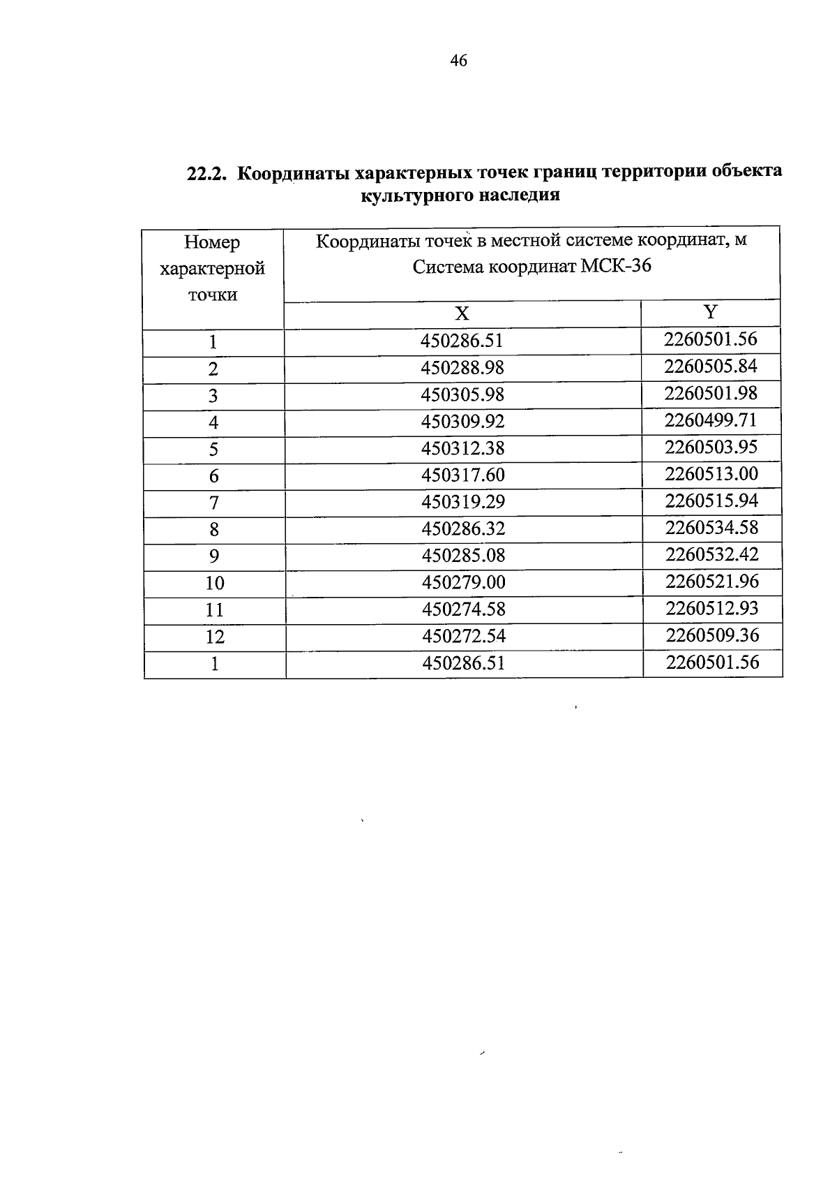
Приказ управления по охране объектов культурного наследия Воронежской области от 17.09.2024 № 71-01-07/433
"Об утверждении границ территорий объектов культурного наследия регионального значения, расположенных на территории Воронежской области"
(Зарегистрирован 04.10.2024 № 1112)
Номер опубликования: 3601202410080002
Дата опубликования: 08.10.2024
Страница №46 из 46:
Увеличить