Официальное опубликование правовых актов
ОФИЦИАЛЬНОЕ ОПУБЛИКОВАНИЕ
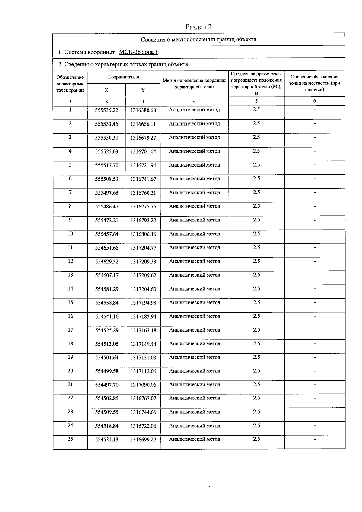
Приказ министерства природных ресурсов и экологии Воронежской области от 17.09.2024 № 361
"Об установлении зон санитарной охраны водозабора в составе шести существующих скважин №№ 1-6 для питьевого, хозяйственно-бытового водоснабжения ООО "Заречное"
(Зарегистрирован 01.10.2024 № 1090)
Номер опубликования: 3601202410040008
Дата опубликования: 04.10.2024
Страница №27 из 33:
Увеличить