Официальное опубликование правовых актов
ОФИЦИАЛЬНОЕ ОПУБЛИКОВАНИЕ
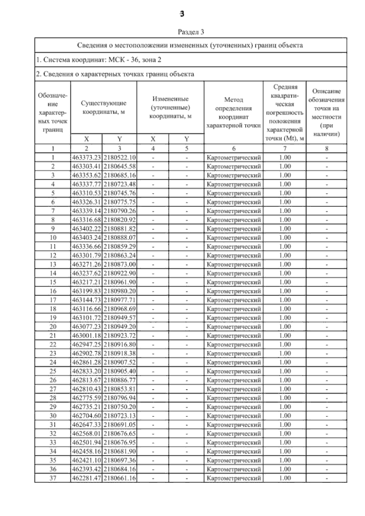
Приказ министерства архитектуры и градостроительства Воронежской области от 23.09.2024 № 45-01-04/378
"О внесении изменений в правила землепользования и застройки Новочигольского сельского поселения Таловского муниципального района Воронежской области"
(Зарегистрирован 01.10.2024 № 1101)
Номер опубликования: 3601202410030005
Дата опубликования: 03.10.2024
Страница №11 из 53:
Увеличить