Официальное опубликование правовых актов
ОФИЦИАЛЬНОЕ ОПУБЛИКОВАНИЕ
Приказ министерства архитектуры и градостроительства Воронежской области от 25.09.2024 № 45-01-04/400
"О внесении изменений в правила землепользования и застройки Краснолиманского сельского поселения Панинского муниципального района Воронежской области"
(Зарегистрирован 01.10.2024 № 1106)
Номер опубликования: 3601202410030003
Дата опубликования: 03.10.2024
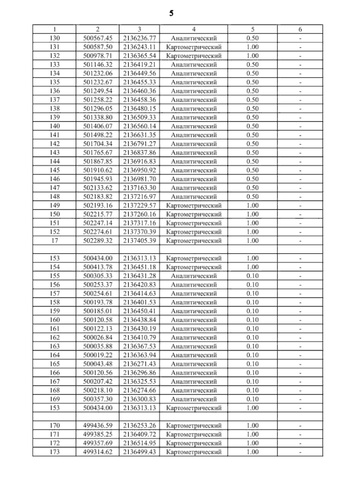
Страница №10 из 52:
Увеличить