Официальное опубликование правовых актов
ОФИЦИАЛЬНОЕ ОПУБЛИКОВАНИЕ
Приказ министерства архитектуры и градостроительства Воронежской области от 20.09.2024 № 45-01-04/376
"О внесении изменений в правила землепользования и застройки Тресоруковского сельского поселения Лискинского муниципального района Воронежской области"
(Зарегистрирован 26.09.2024 № 1067)
Номер опубликования: 3601202409300010
Дата опубликования: 30.09.2024
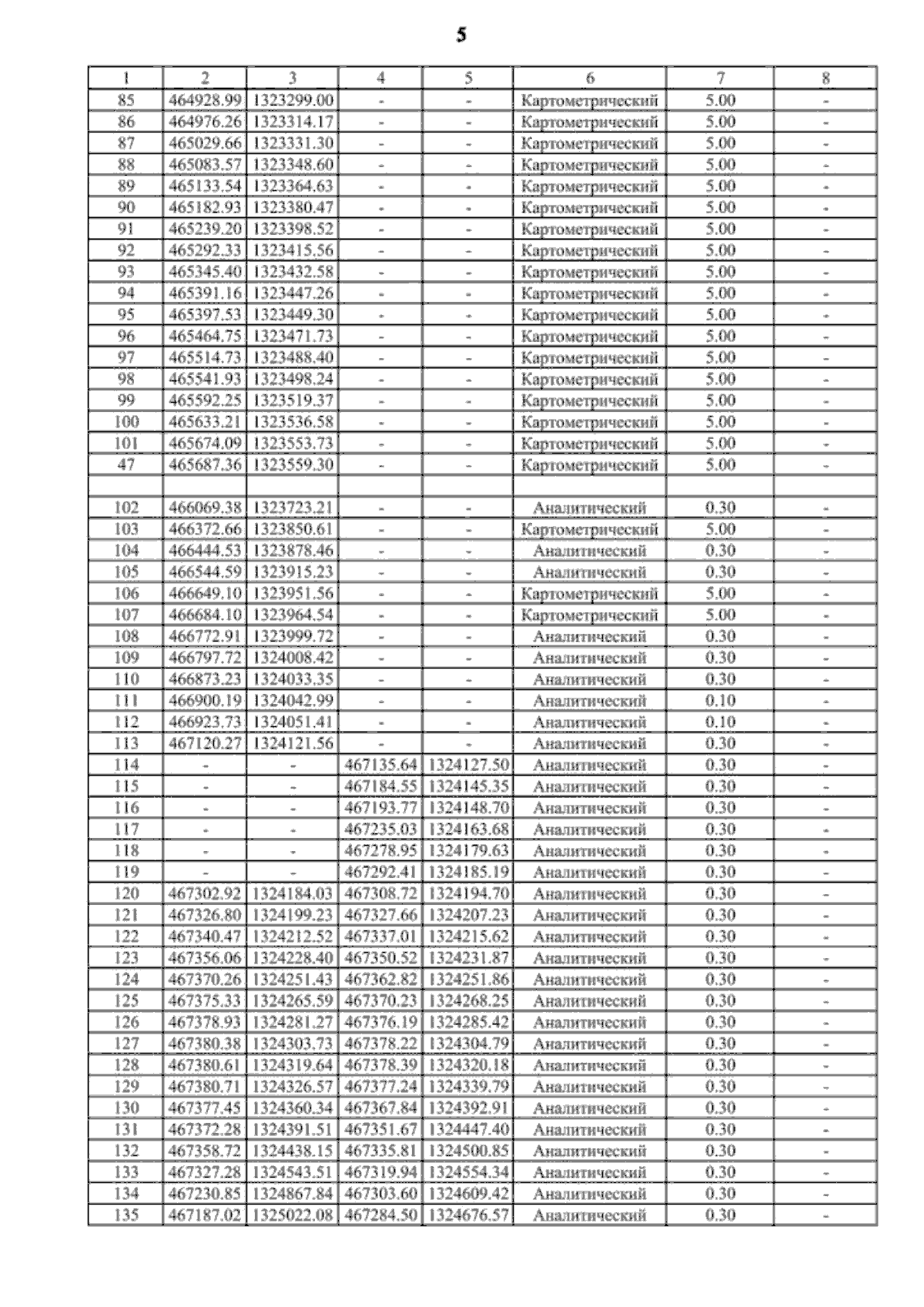
Страница №53 из 64:
Увеличить