Официальное опубликование правовых актов
ОФИЦИАЛЬНОЕ ОПУБЛИКОВАНИЕ
Приказ министерства архитектуры и градостроительства Воронежской области от 12.09.2024 № 45-01-04/352
"О внесении изменений в правила землепользования и застройки Нижнебайгорского сельского поселения Верхнехавского муниципального района Воронежской области"
(Зарегистрирован 26.09.2024 № 1070)
Номер опубликования: 3601202409300006
Дата опубликования: 30.09.2024
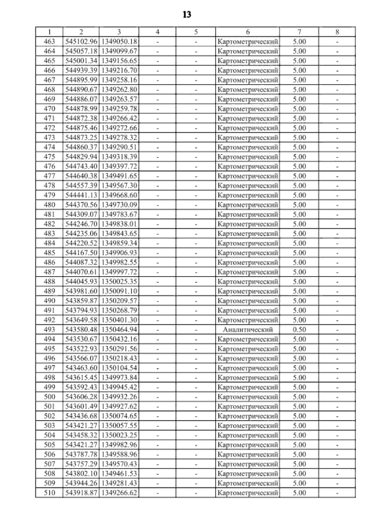
Страница №20 из 29:
Увеличить