Официальное опубликование правовых актов
ОФИЦИАЛЬНОЕ ОПУБЛИКОВАНИЕ
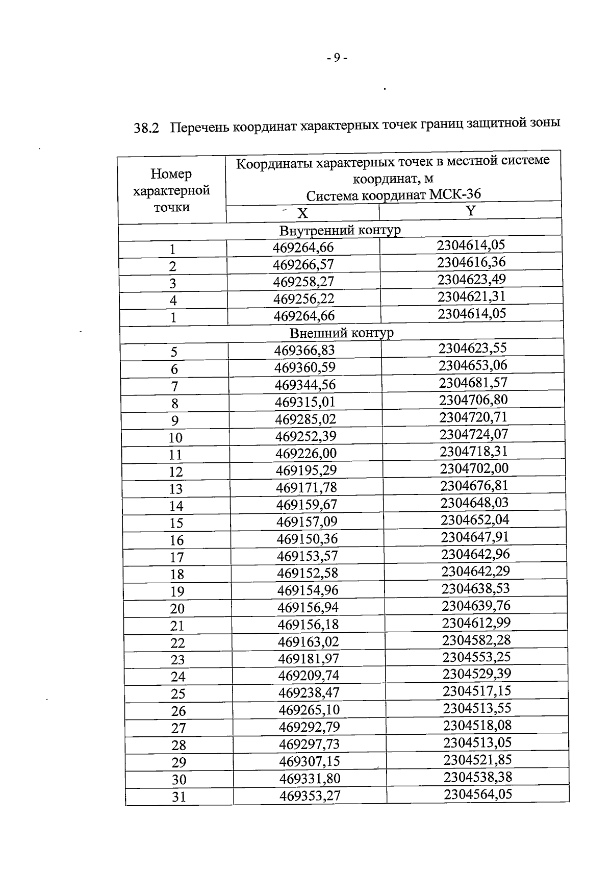
Приказ управления по охране объектов культурного наследия Воронежской области от 05.09.2024 № 71-01-07/425
"О внесении изменений в приказ управления по охране объектов культурного наследия Воронежской области от 29.04.2019 № 71-01-07/115"
(Зарегистрирован 17.09.2024 № 1024)
Номер опубликования: 3601202409200004
Дата опубликования: 20.09.2024
Страница №9 из 29:
Увеличить