Официальное опубликование правовых актов
ОФИЦИАЛЬНОЕ ОПУБЛИКОВАНИЕ
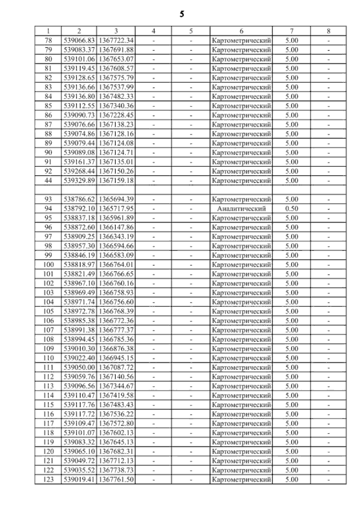
Приказ министерства архитектуры и градостроительства Воронежской области от 29.08.2024 № 45-01-04/333
"О внесении изменений в правила землепользования и застройки Шукавского сельского поселения Верхнехавского муниципального района Воронежской области"
(Зарегистрирован 09.09.2024 № 977)
Номер опубликования: 3601202409110004
Дата опубликования: 11.09.2024
Страница №12 из 19:
Увеличить