Официальное опубликование правовых актов
ОФИЦИАЛЬНОЕ ОПУБЛИКОВАНИЕ
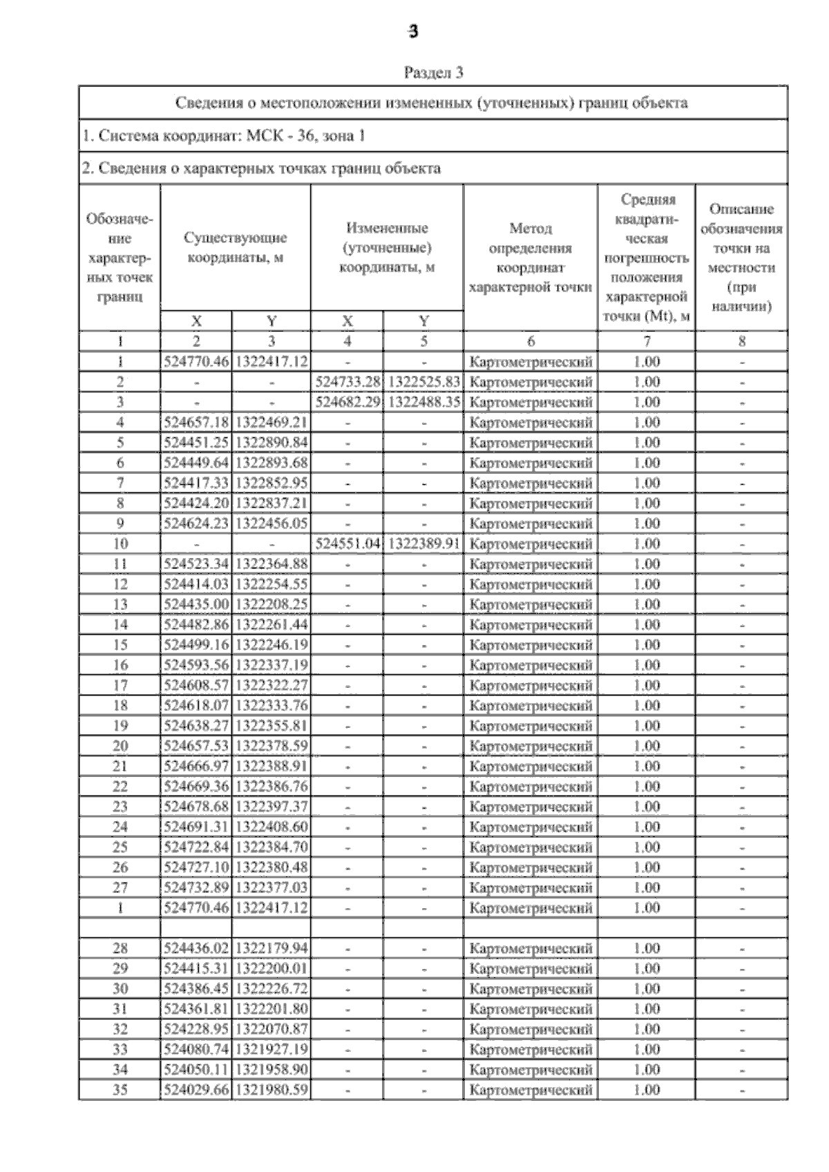
Приказ министерства архитектуры и градостроительства Воронежской области от 28.08.2024 № 45-01-04/328
"О внесении изменений в правила землепользования и застройки Воленского сельского поселения Новоусманского муниципального района Воронежской области"
(Зарегистрирован 06.09.2024 № 972)
Номер опубликования: 3601202409110001
Дата опубликования: 11.09.2024
Страница №66 из 82:
Увеличить