Официальное опубликование правовых актов
ОФИЦИАЛЬНОЕ ОПУБЛИКОВАНИЕ
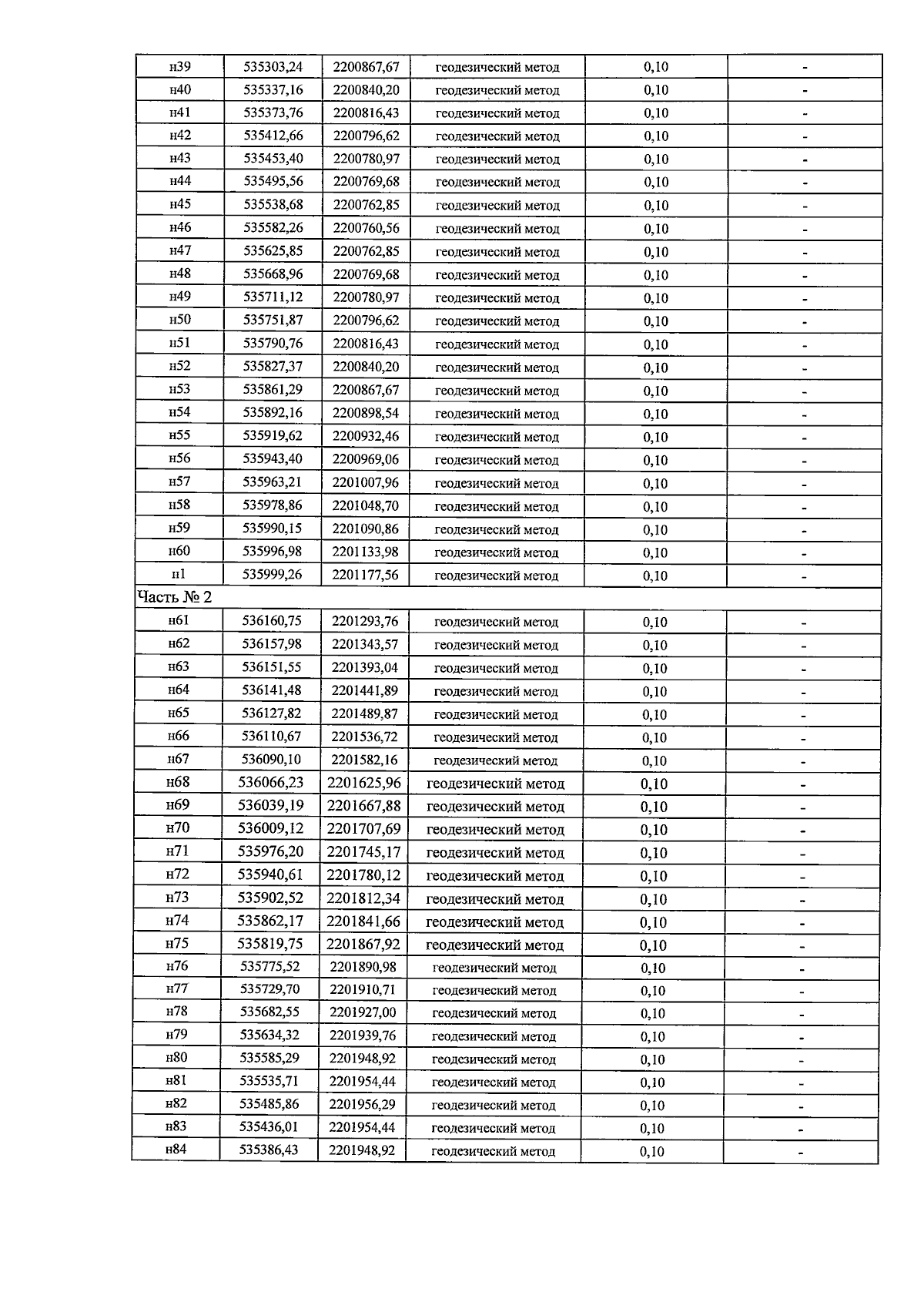
Приказ министерства природных ресурсов и экологии Воронежской области от 12.08.2024 № 316
"Об установлении зон санитарной охраны существующих скважин: № б/н/1, № 1, № 41578/2 для питьевого, хозяйственно-бытового и технологического водоснабжения ООО "Благо-Эртиль"
(Зарегистрирован 27.08.2024 № 907)
Номер опубликования: 3601202408290008
Дата опубликования: 29.08.2024
Страница №17 из 21:
Увеличить