Официальное опубликование правовых актов
ОФИЦИАЛЬНОЕ ОПУБЛИКОВАНИЕ
Приказ министерства природных ресурсов и экологии Воронежской области от 12.08.2024 № 315
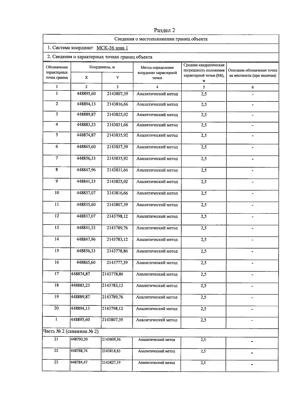
"Об установлении зон санитарной охраны трех существующих скважин № 1, № 2, № 3 для питьевых, хозяйственно-бытовых нужд предприятия ООО "Бобровский сырзавод"
(Зарегистрирован 27.08.2024 № 906)
Номер опубликования: 3601202408290007
Дата опубликования: 29.08.2024
Страница №9 из 20:
Увеличить