Официальное опубликование правовых актов
ОФИЦИАЛЬНОЕ ОПУБЛИКОВАНИЕ
Приказ министерства природных ресурсов и экологии Воронежской области от 01.08.2024 № 296
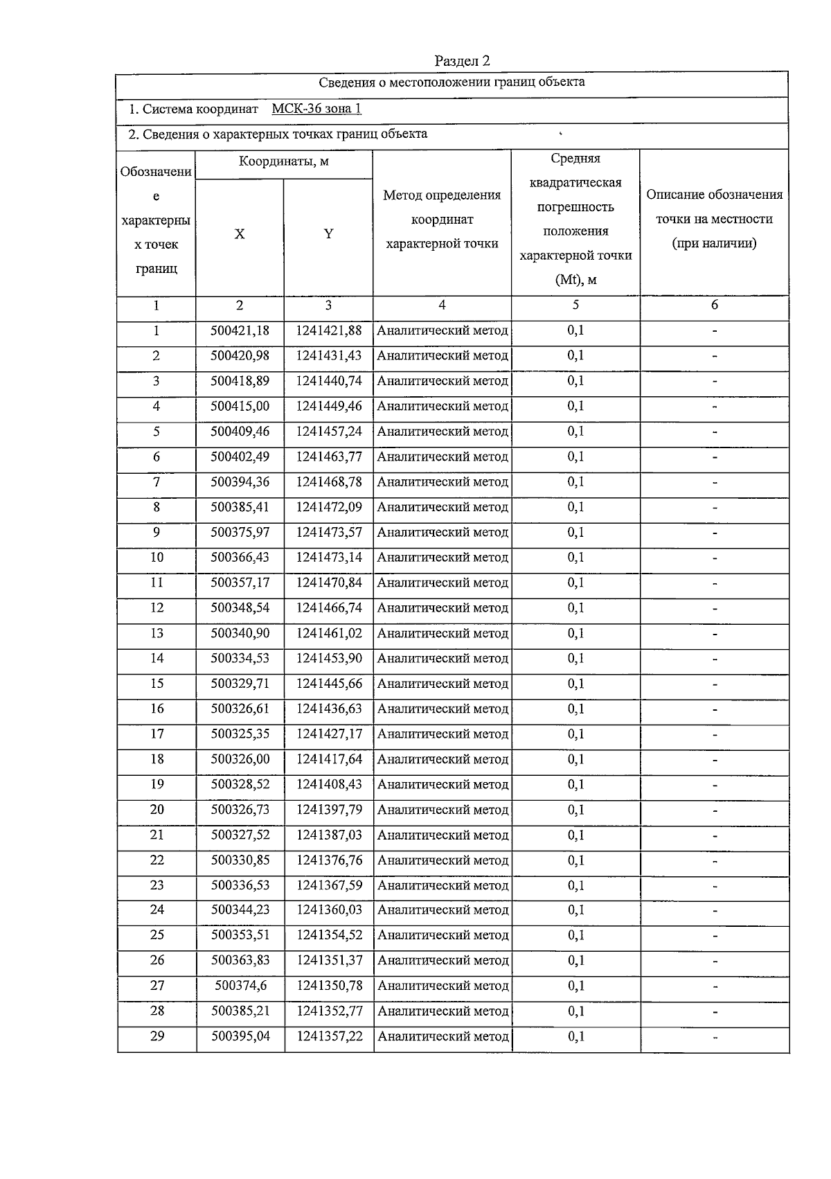
"Об установлении зон санитарной охраны двух существующих скважин № 75692 (по ГВК 20203565), № 62515 (по ГВК 20203564) для питьевого, хозяйственно-бытового и технологического водоснабжения предприятия ООО "Маслодельный завод Нижнедевицкий"
(Зарегистрирован 21.08.2024 № 889)
Номер опубликования: 3601202408230001
Дата опубликования: 23.08.2024
Страница №13 из 19:
Увеличить