Официальное опубликование правовых актов
ОФИЦИАЛЬНОЕ ОПУБЛИКОВАНИЕ
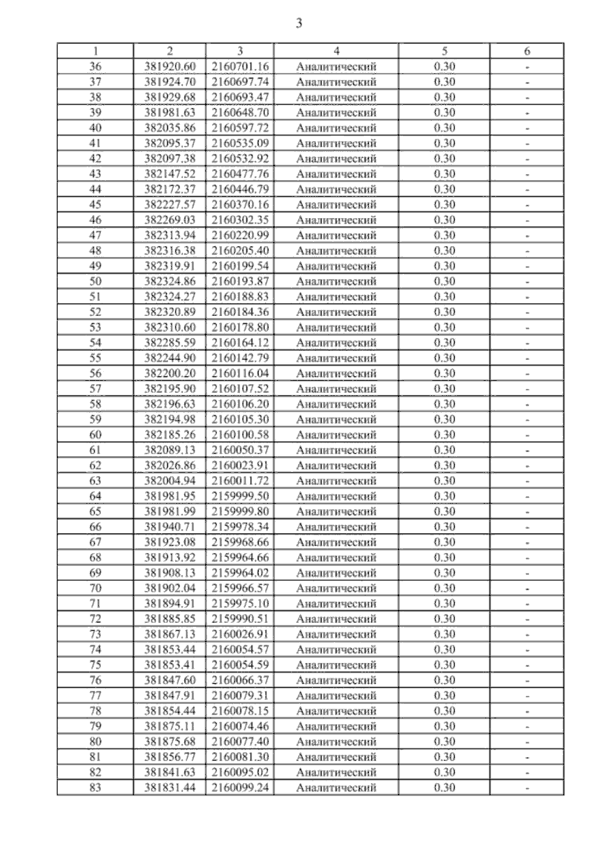
Приказ министерства архитектуры и градостроительства Воронежской области от 24.07.2024 № 45-01-04/281
"О внесении изменений в правила землепользования и застройки Елизаветовского сельского поселения Павловского муниципального района Воронежской области"
(Зарегистрирован 30.07.2024 № 828)
Номер опубликования: 3601202408010004
Дата опубликования: 01.08.2024
Страница №23 из 48:
Увеличить