Официальное опубликование правовых актов
ОФИЦИАЛЬНОЕ ОПУБЛИКОВАНИЕ
Приказ министерства архитектуры и градостроительства Воронежской области от 15.07.2024 № 45-01-04/270
"О внесении изменений в правила землепользования и застройки Кондрашкинского сельского поселения Каширского муниципального района Воронежской области"
(Зарегистрирован 19.07.2024 № 802)
Номер опубликования: 3601202407220006
Дата опубликования: 22.07.2024
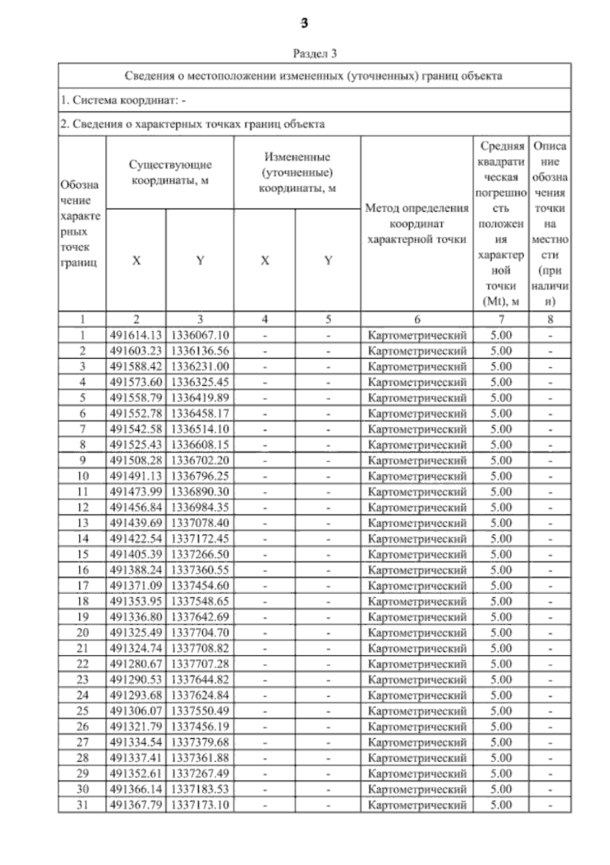
Страница №36 из 42:
Увеличить