Официальное опубликование правовых актов
ОФИЦИАЛЬНОЕ ОПУБЛИКОВАНИЕ
Приказ министерства архитектуры и градостроительства Воронежской области от 15.07.2024 № 45-01-04/272
"О внесении изменений в правила землепользования и застройки Каменского городского поселения Каменского муниципального района Воронежской области"
(Зарегистрирован 17.07.2024 № 791)
Номер опубликования: 3601202407180006
Дата опубликования: 18.07.2024
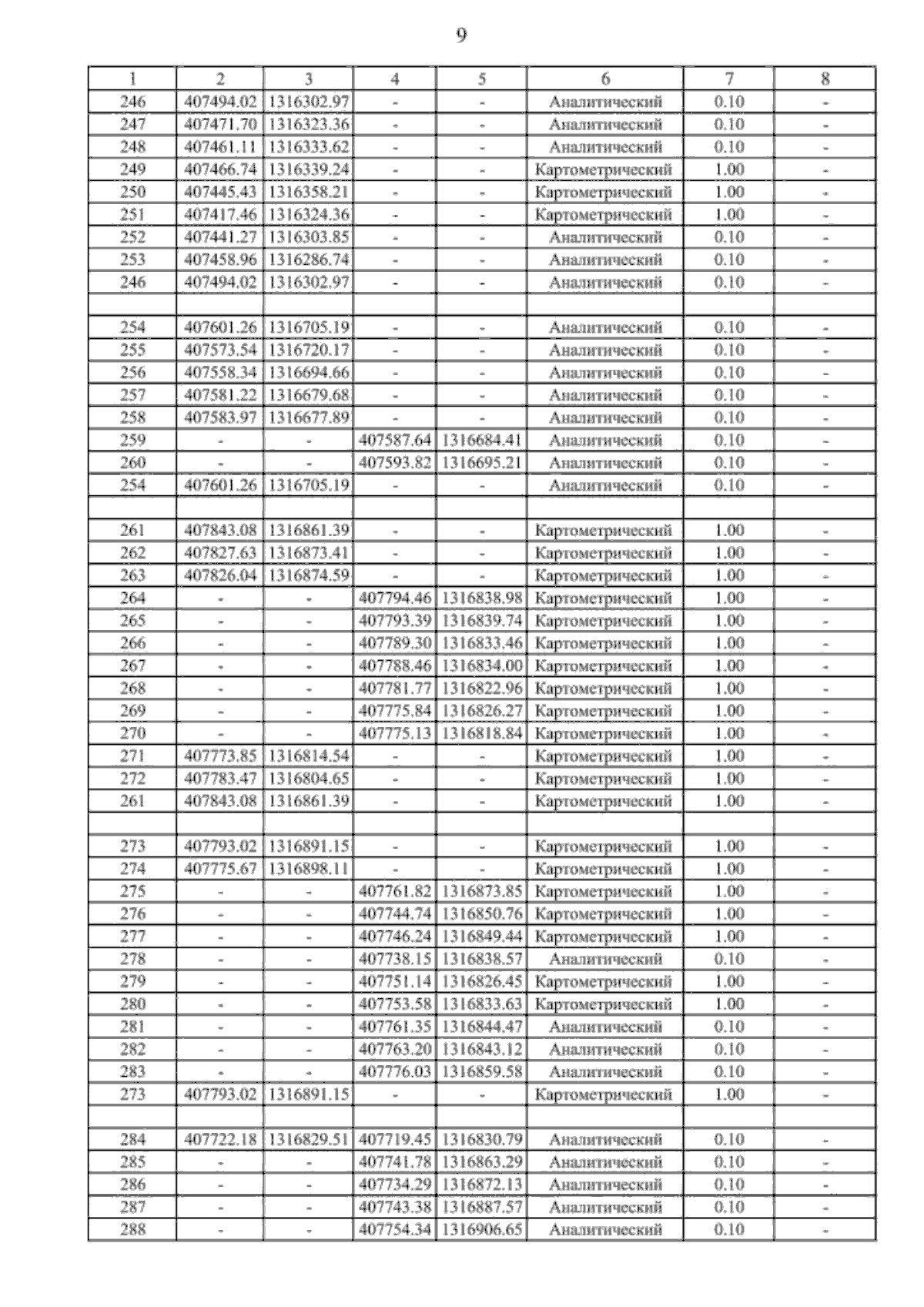
Страница №42 из 105:
Увеличить