Официальное опубликование правовых актов
ОФИЦИАЛЬНОЕ ОПУБЛИКОВАНИЕ
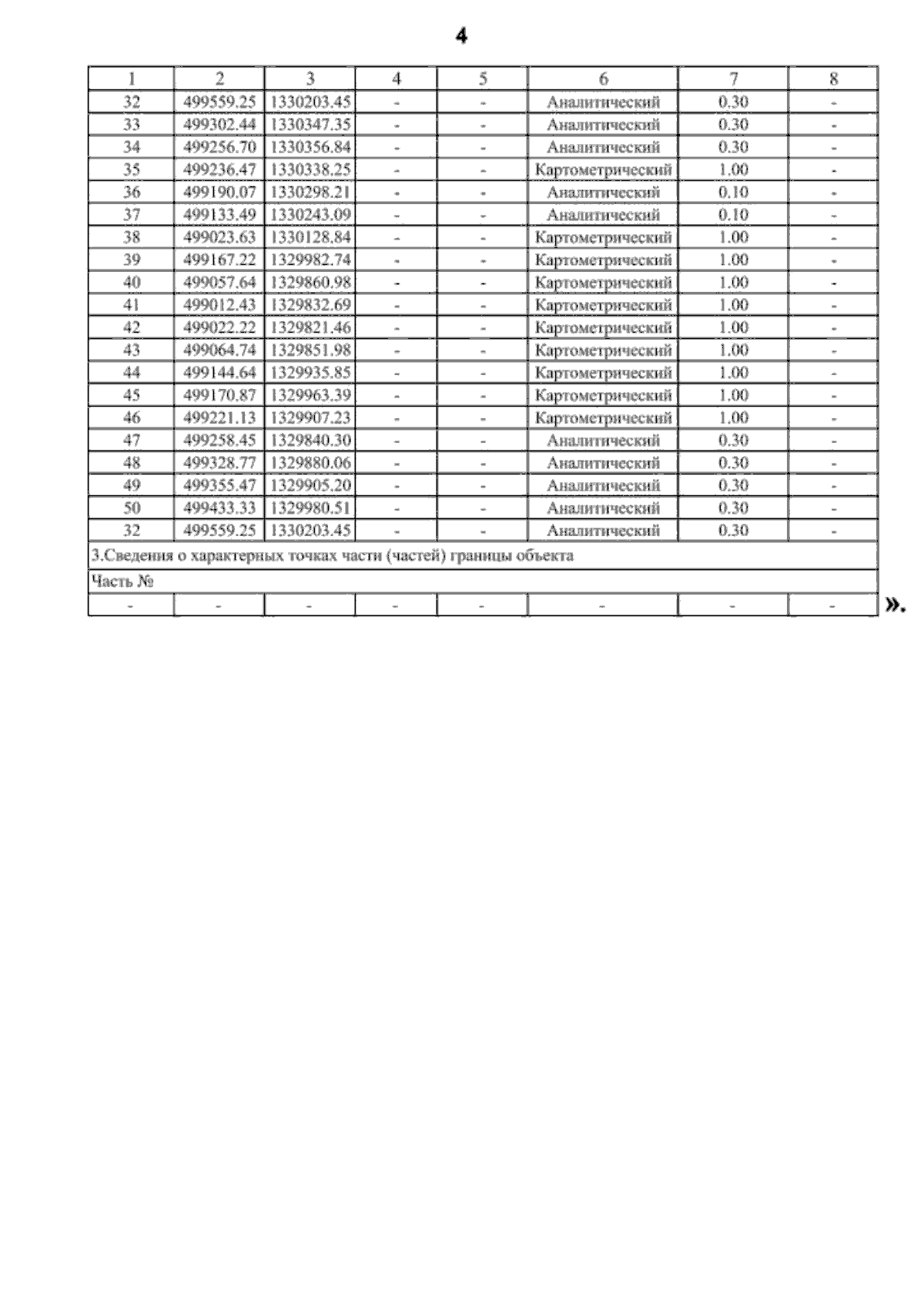
Приказ министерства архитектуры и градостроительства Воронежской области от 10.06.2024 № 45-01-04/216
"О внесении изменений в правила землепользования и застройки Тимирязевского сельского поселения Новоусманского муниципального района Воронежской области"
(Зарегистрирован 26.06.2024 № 709)
Номер опубликования: 3601202406280012
Дата опубликования: 28.06.2024
Страница №85 из 91:
Увеличить