Официальное опубликование правовых актов
ОФИЦИАЛЬНОЕ ОПУБЛИКОВАНИЕ
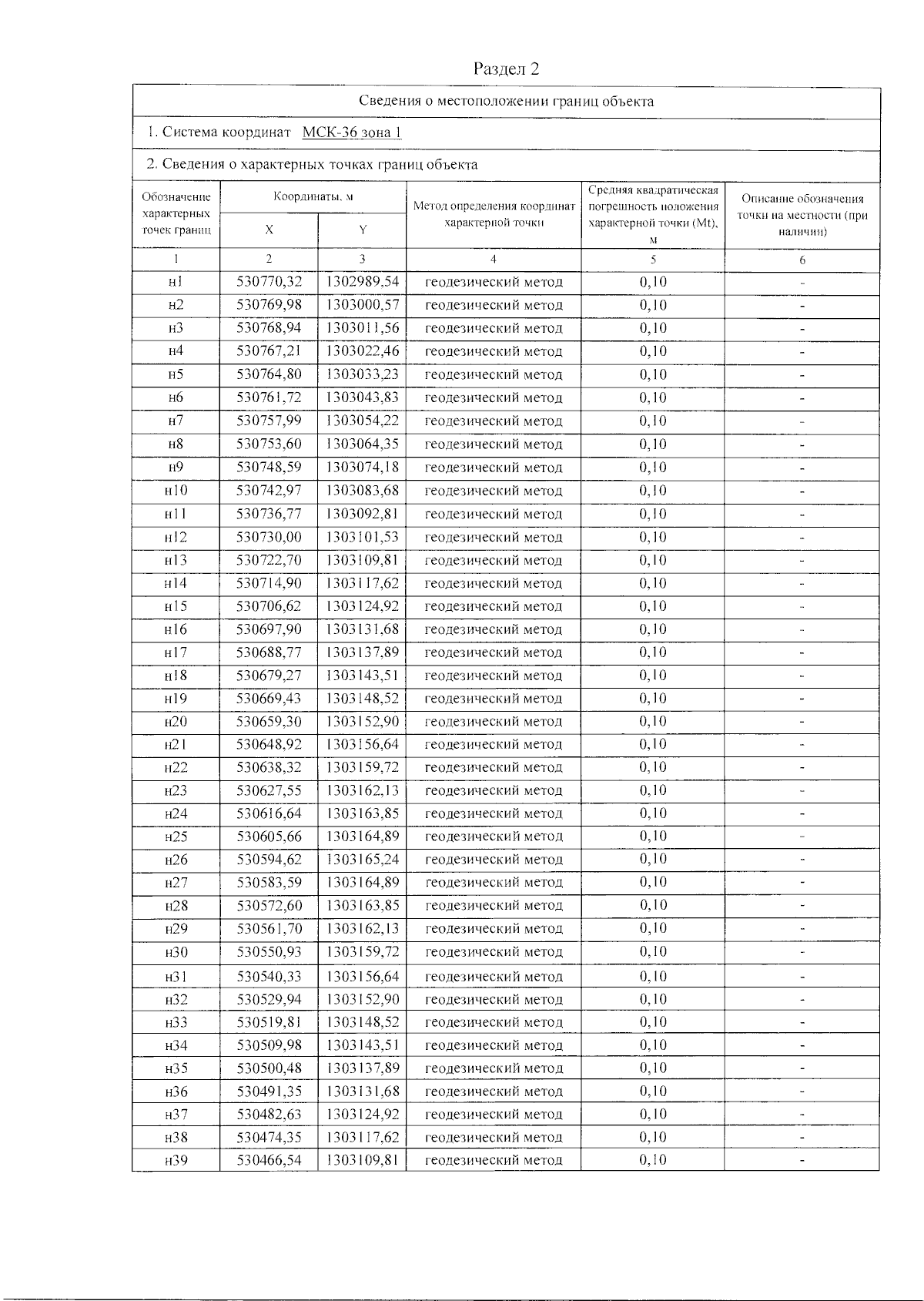
Приказ министерства природных ресурсов и экологии Воронежской области от 13.06.2024 № 229
"Об установлении зон санитарной охраны водозабора в составе одной существующей водозаборной скважины № 1/97 для питьевого, хозяйственно-бытового водоснабжения цеха розлива питьевой воды Индивидуального предпринимателя Карцева Бориса Владимировича"
(Зарегистрирован 26.06.2024 № 717)
Номер опубликования: 3601202406280007
Дата опубликования: 28.06.2024
Страница №16 из 19:
Увеличить