Официальное опубликование правовых актов
ОФИЦИАЛЬНОЕ ОПУБЛИКОВАНИЕ
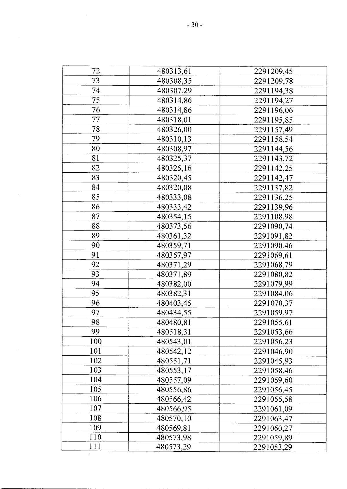
Приказ управления по охране объектов культурного наследия Воронежской области от 29.05.2024 № 71-01-07/247
"О внесении изменений в приказ управления по охране объектов культурного наследия Воронежской области от 29.04.2019 № 71-01-07/115"
(Зарегистрирован 18.06.2024 № 657)
Номер опубликования: 3601202406270005
Дата опубликования: 27.06.2024
Страница №30 из 31:
Увеличить