Официальное опубликование правовых актов
ОФИЦИАЛЬНОЕ ОПУБЛИКОВАНИЕ
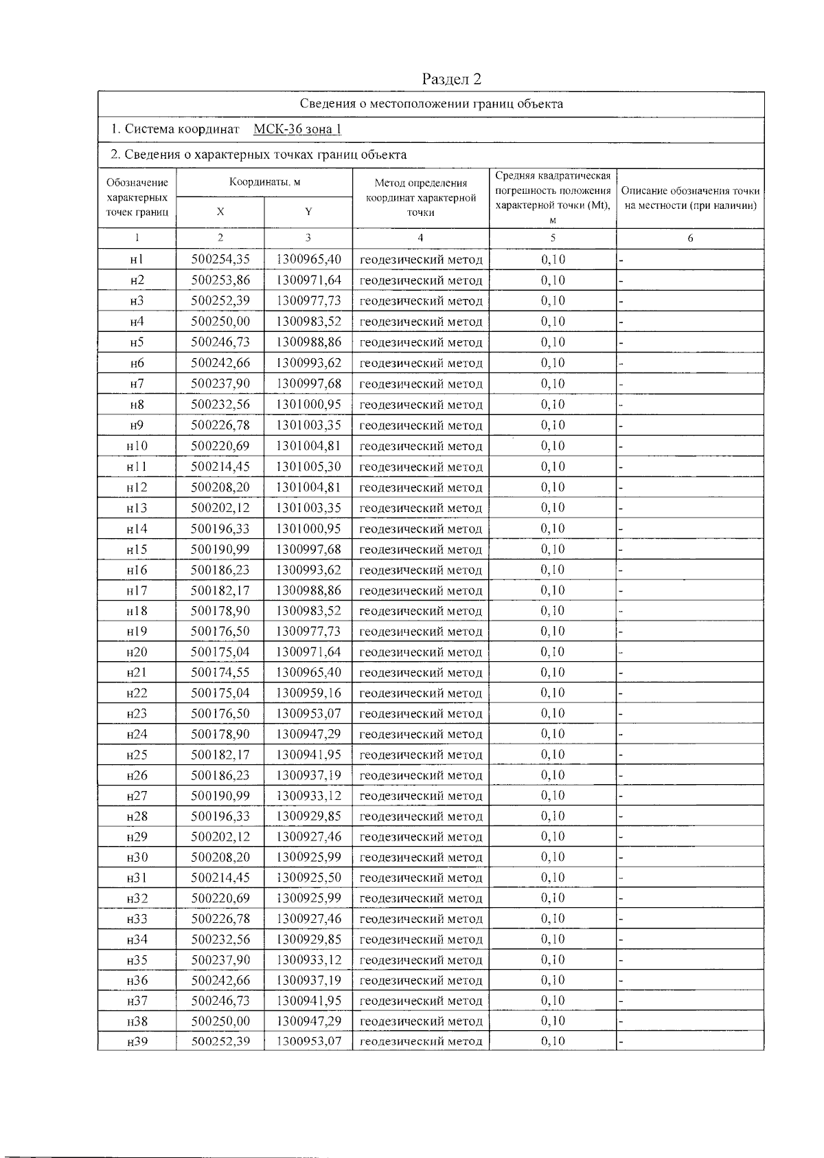
Приказ министерства природных ресурсов и экологии Воронежской области от 05.06.2024 № 204
"Об установлении зон санитарной охраны скважины № 79319/1 для питьевого, хозяйственно-бытового водоснабжения МКП "Воронежтеплосеть"
(Зарегистрирован 20.06.2024 № 669)
Номер опубликования: 3601202406240002
Дата опубликования: 24.06.2024
Страница №12 из 18:
Увеличить