Официальное опубликование правовых актов
ОФИЦИАЛЬНОЕ ОПУБЛИКОВАНИЕ
Приказ министерства архитектуры и градостроительства Воронежской области от 13.05.2024 № 45-01-04/161
"О внесении изменений в правила землепользования и застройки Осетровского сельского поселения Верхнемамонского муниципального района Воронежской области"
(Зарегистрирован 23.05.2024 № 542)
Номер опубликования: 3601202405240006
Дата опубликования: 24.05.2024
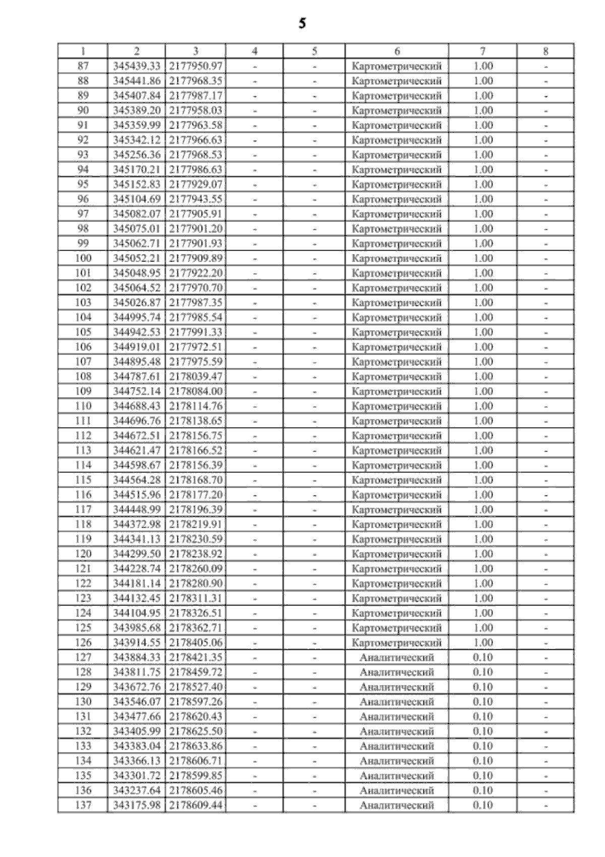
Страница №12 из 42:
Увеличить