Официальное опубликование правовых актов
ОФИЦИАЛЬНОЕ ОПУБЛИКОВАНИЕ
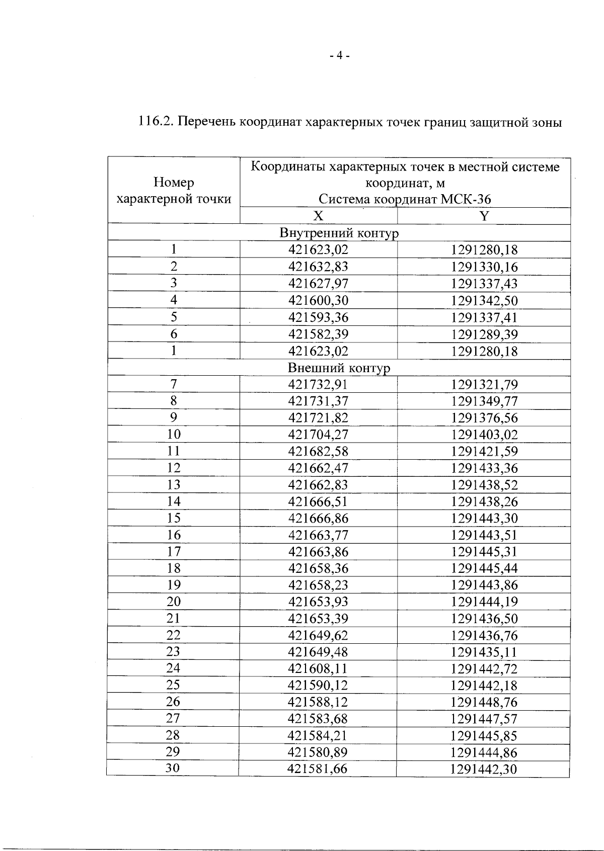
Приказ управления по охране объектов культурного наследия Воронежской области от 22.04.2024 № 71-01-07/215
"О внесении изменения в приказ управления по охране объектов культурного наследия Воронежской области от 04.12.2018 № 71-01-07/266"
(Зарегистрирован 13.05.2024 № 482)
Номер опубликования: 3601202405150003
Дата опубликования: 15.05.2024
Страница №4 из 6:
Увеличить