Официальное опубликование правовых актов
ОФИЦИАЛЬНОЕ ОПУБЛИКОВАНИЕ
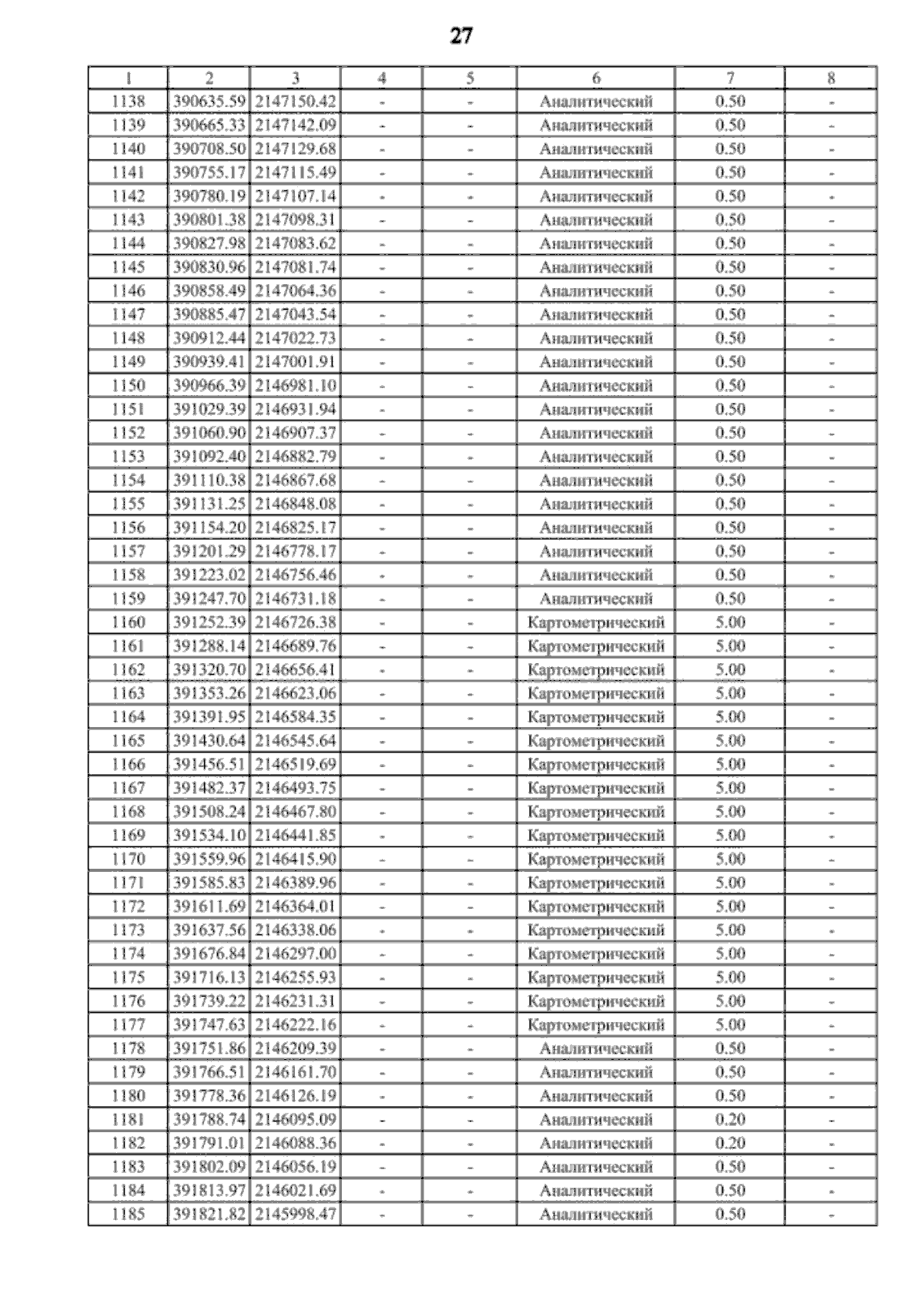
Приказ министерства архитектуры и градостроительства Воронежской области от 23.04.2024 № 45-01-04/143
"О внесении изменений в правила землепользования и застройки Александро-Донского сельского поселения Павловского муниципального района Воронежской области"
(Зарегистрирован 13.05.2024 № 488)
Номер опубликования: 3601202405140010
Дата опубликования: 14.05.2024
Страница №43 из 66:
Увеличить