Приказ управления по охране объектов культурного наследия Воронежской области от 16.04.2024 № 71-01-07/212
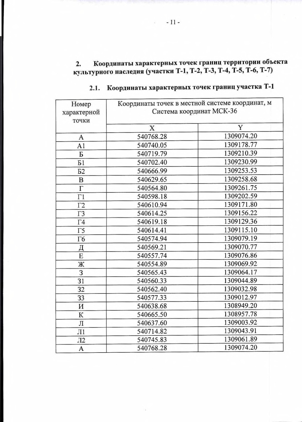
"Об утверждении границ территории объекта культурного наследия регионального значения "Дворцовый ансамбль Ольденбургских "Рамонь", расположенного по адресу: Воронежская область, Рамонский район, Рамонское городское поселение, рп. Рамонь, ул. Мосина, 9, 15а, 196, 21, 23, 23Б, ул. Школьная, 2, 3, 4, ул. 9 Января, 5а, 9, ул. Победы, 2"
(Зарегистрирован 27.04.2024 № 475)
"Об утверждении границ территории объекта культурного наследия регионального значения "Дворцовый ансамбль Ольденбургских "Рамонь", расположенного по адресу: Воронежская область, Рамонский район, Рамонское городское поселение, рп. Рамонь, ул. Мосина, 9, 15а, 196, 21, 23, 23Б, ул. Школьная, 2, 3, 4, ул. 9 Января, 5а, 9, ул. Победы, 2"
(Зарегистрирован 27.04.2024 № 475)
Номер опубликования: 3601202405030007
Дата опубликования:
03.05.2024
