Официальное опубликование правовых актов
ОФИЦИАЛЬНОЕ ОПУБЛИКОВАНИЕ
Приказ министерства архитектуры и градостроительства Воронежской области от 04.04.2024 № 45-01-04/121
"О внесении изменений в правила землепользования и застройки Перлёвского сельского поселения Семилукского муниципального района Воронежской области"
(Зарегистрирован 15.04.2024 № 435)
Номер опубликования: 3601202404160010
Дата опубликования: 16.04.2024
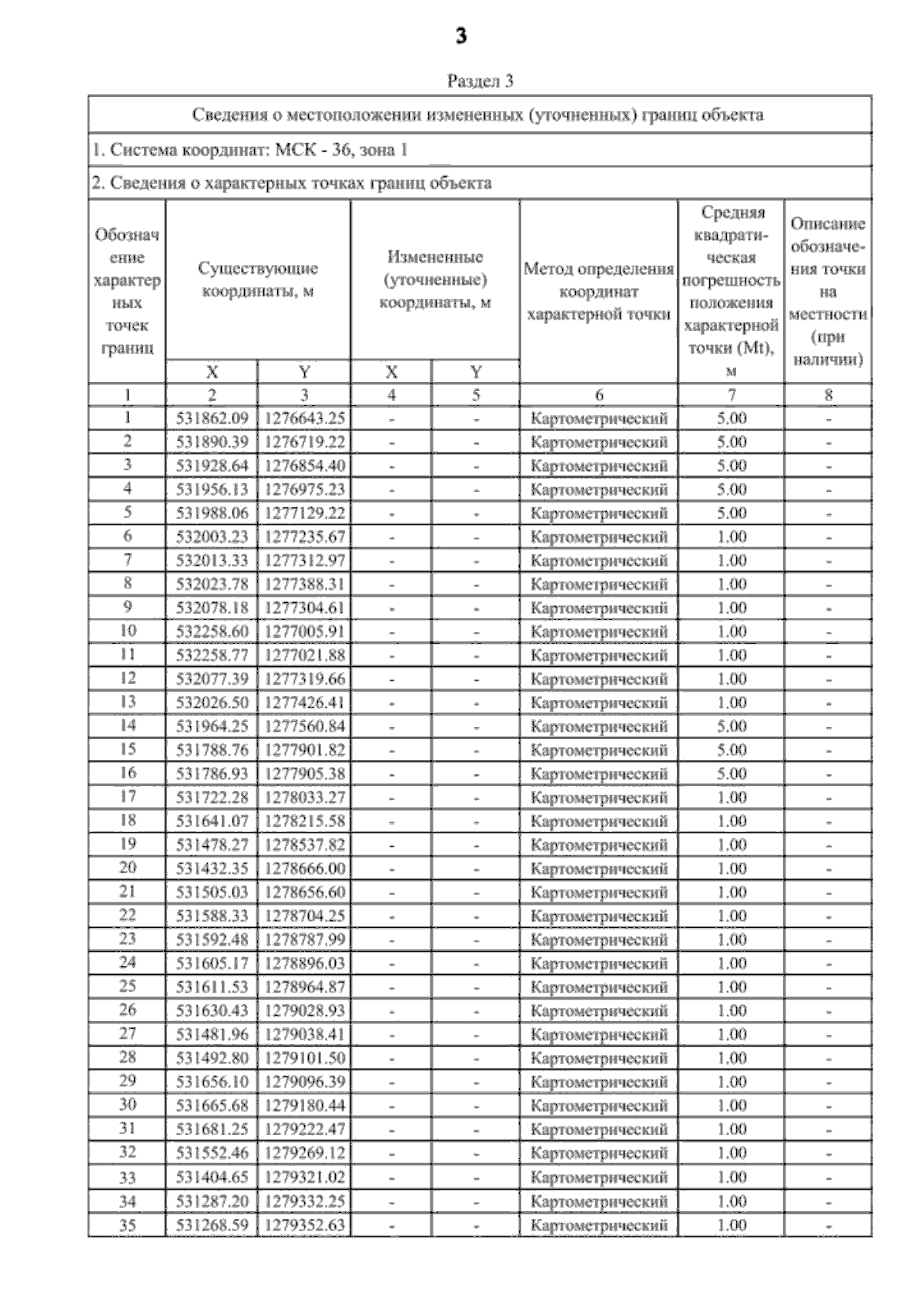
Страница №11 из 21:
Увеличить