Официальное опубликование правовых актов
ОФИЦИАЛЬНОЕ ОПУБЛИКОВАНИЕ
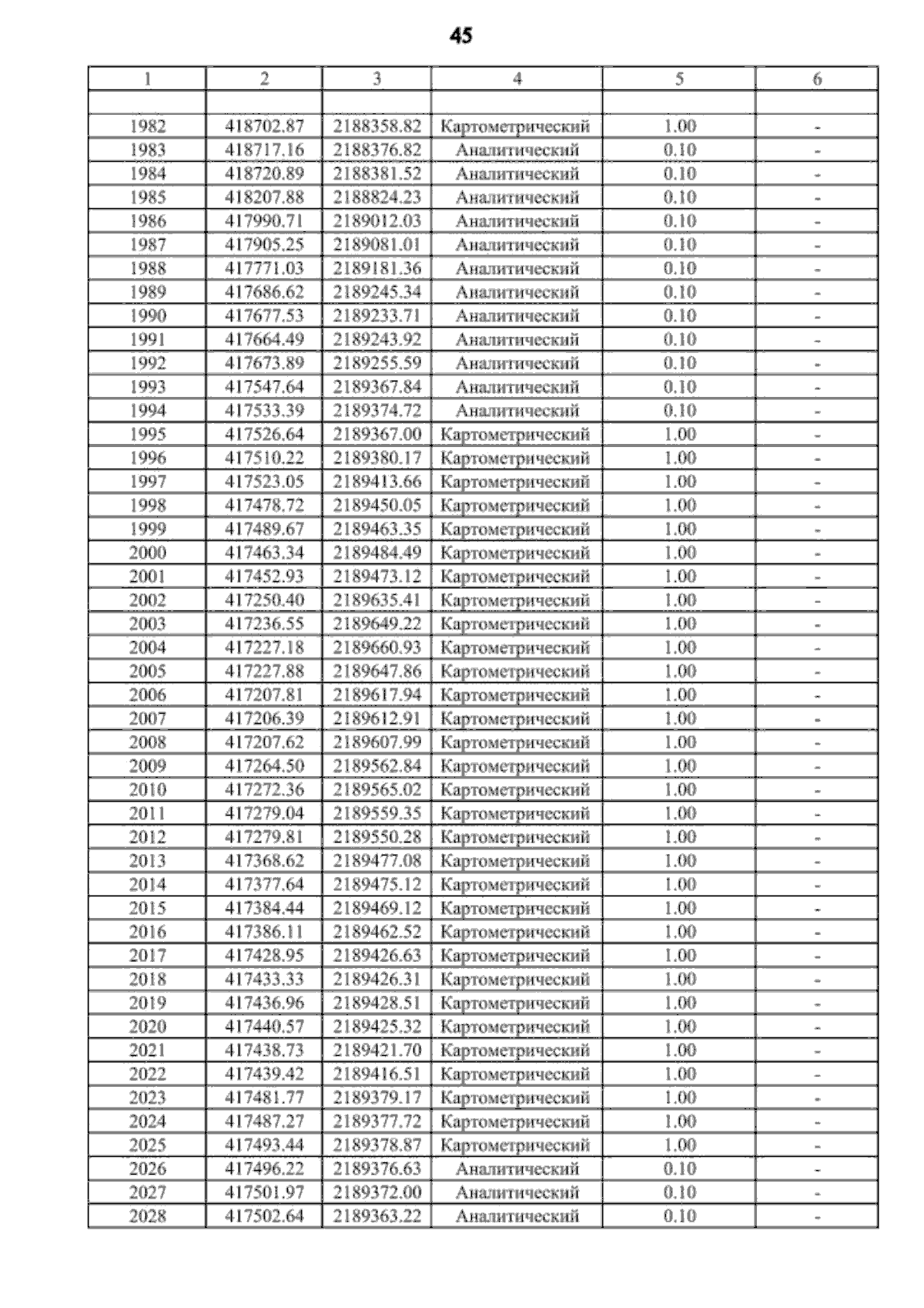
Приказ министерства архитектуры и градостроительства Воронежской области от 04.04.2024 № 45-01-04/119
"О внесении изменений в правила землепользования и застройки Бутурлиновского городского поселения Бутурлиновского муниципального района Воронежской области"
(Зарегистрирован 15.04.2024 № 433)
Номер опубликования: 3601202404160007
Дата опубликования: 16.04.2024
Страница №284 из 315:
Увеличить