Официальное опубликование правовых актов
ОФИЦИАЛЬНОЕ ОПУБЛИКОВАНИЕ
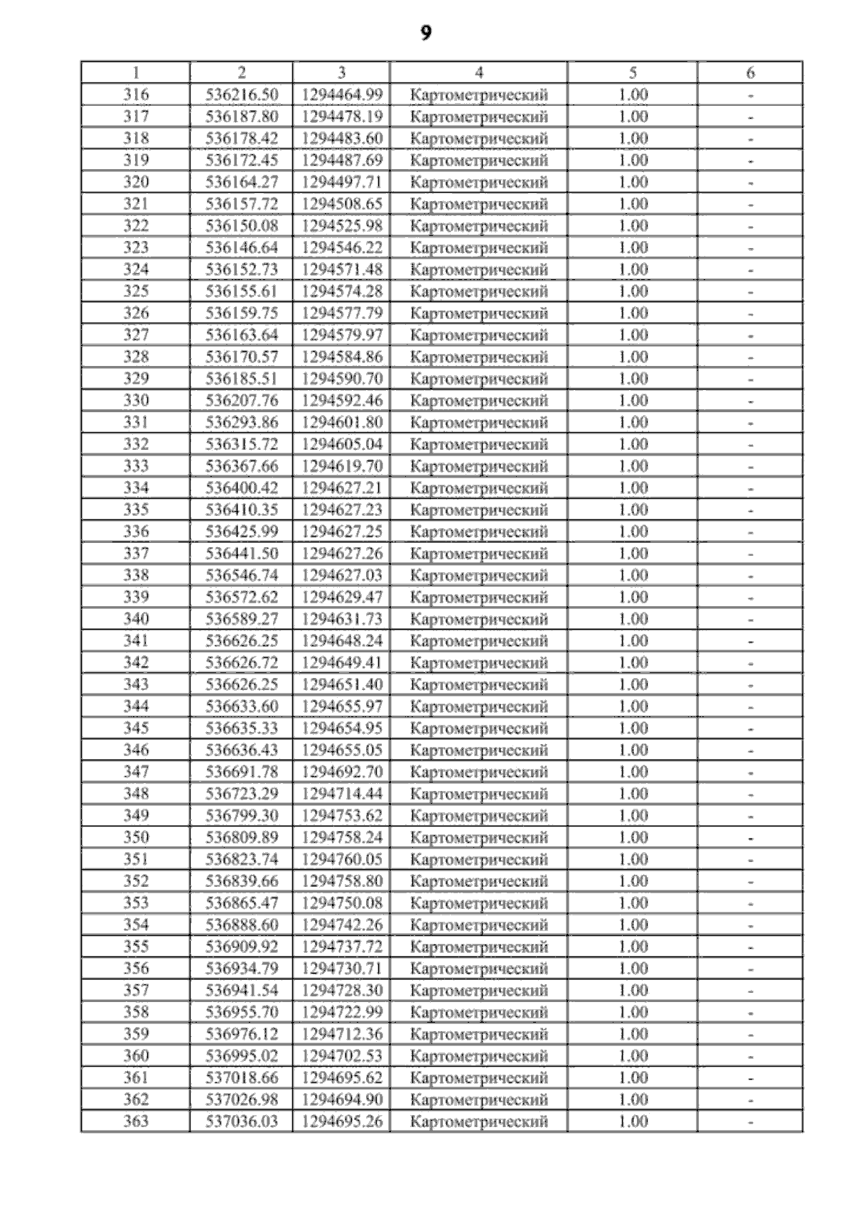
Приказ министерства архитектуры и градостроительства Воронежской области от 09.04.2024 № 45-01-04/128
"О внесении изменений в правила землепользования и застройки Новоживотинновского сельского поселения Рамонского муниципального района Воронежской области"
(Зарегистрирован 12.04.2024 № 430)
Номер опубликования: 3601202404160002
Дата опубликования: 16.04.2024
Страница №18 из 30:
Увеличить