Официальное опубликование правовых актов
ОФИЦИАЛЬНОЕ ОПУБЛИКОВАНИЕ
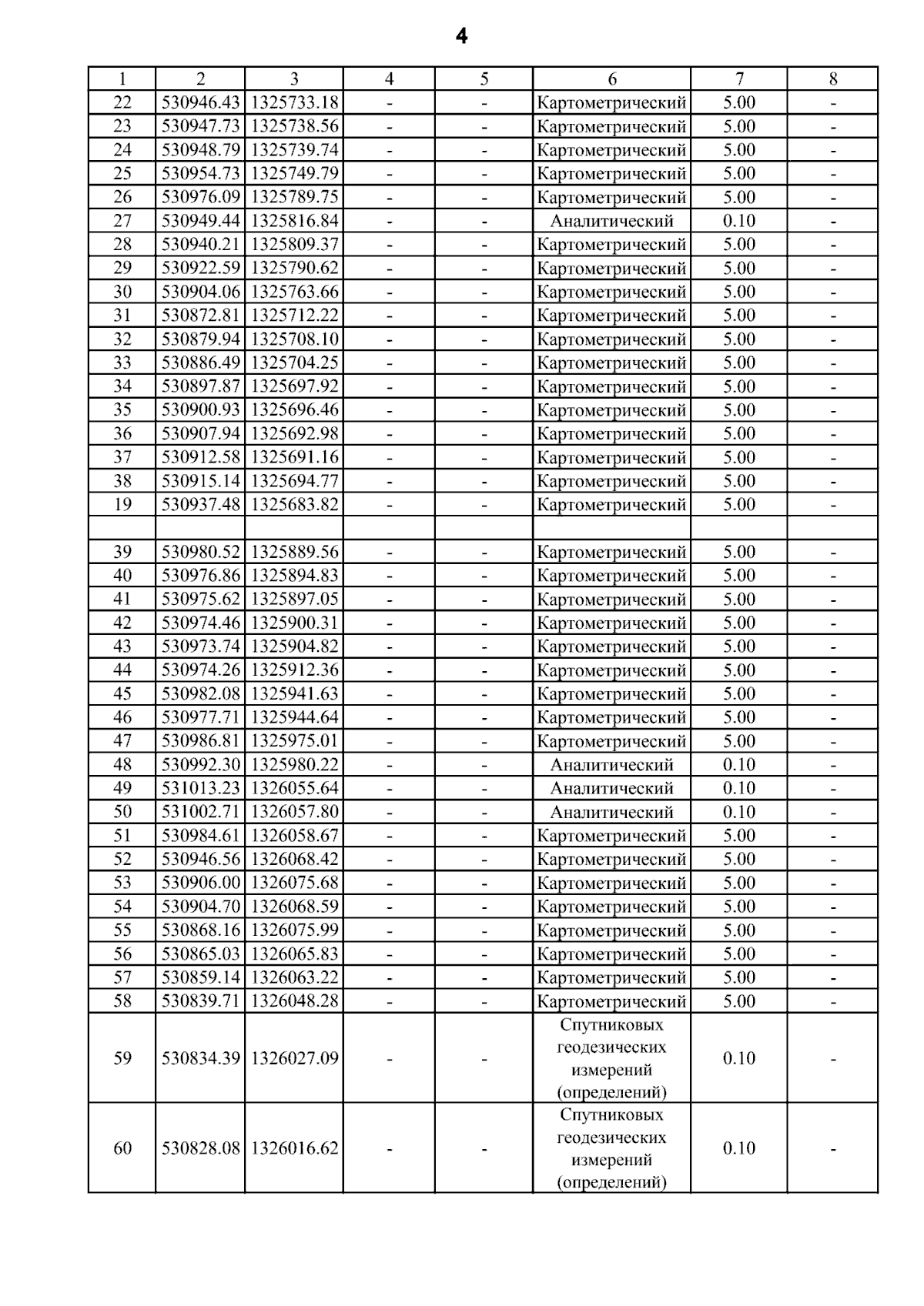
Приказ министерства архитектуры и градостроительства Воронежской области от 26.01.2024 № 45-01-04/18
"«О внесении изменений в правила землепользования и застройки Углянского сельского поселения Верхнехавского муниципального района Воронежской области»"
(Зарегистрирован 05.02.2024 № 130)
Номер опубликования: 3601202402060008
Дата опубликования: 06.02.2024
Страница №10 из 15:
Увеличить