Официальное опубликование правовых актов
ОФИЦИАЛЬНОЕ ОПУБЛИКОВАНИЕ
Приказ министерства архитектуры и градостроительства Воронежской области от 26.01.2024 № 45-01-04/19
"«О внесении изменений в правила землепользования и застройки городского поселения – город Бобров Бобровского муниципального района Воронежской области»"
(Зарегистрирован 05.02.2024 № 131)
Номер опубликования: 3601202402060004
Дата опубликования: 06.02.2024
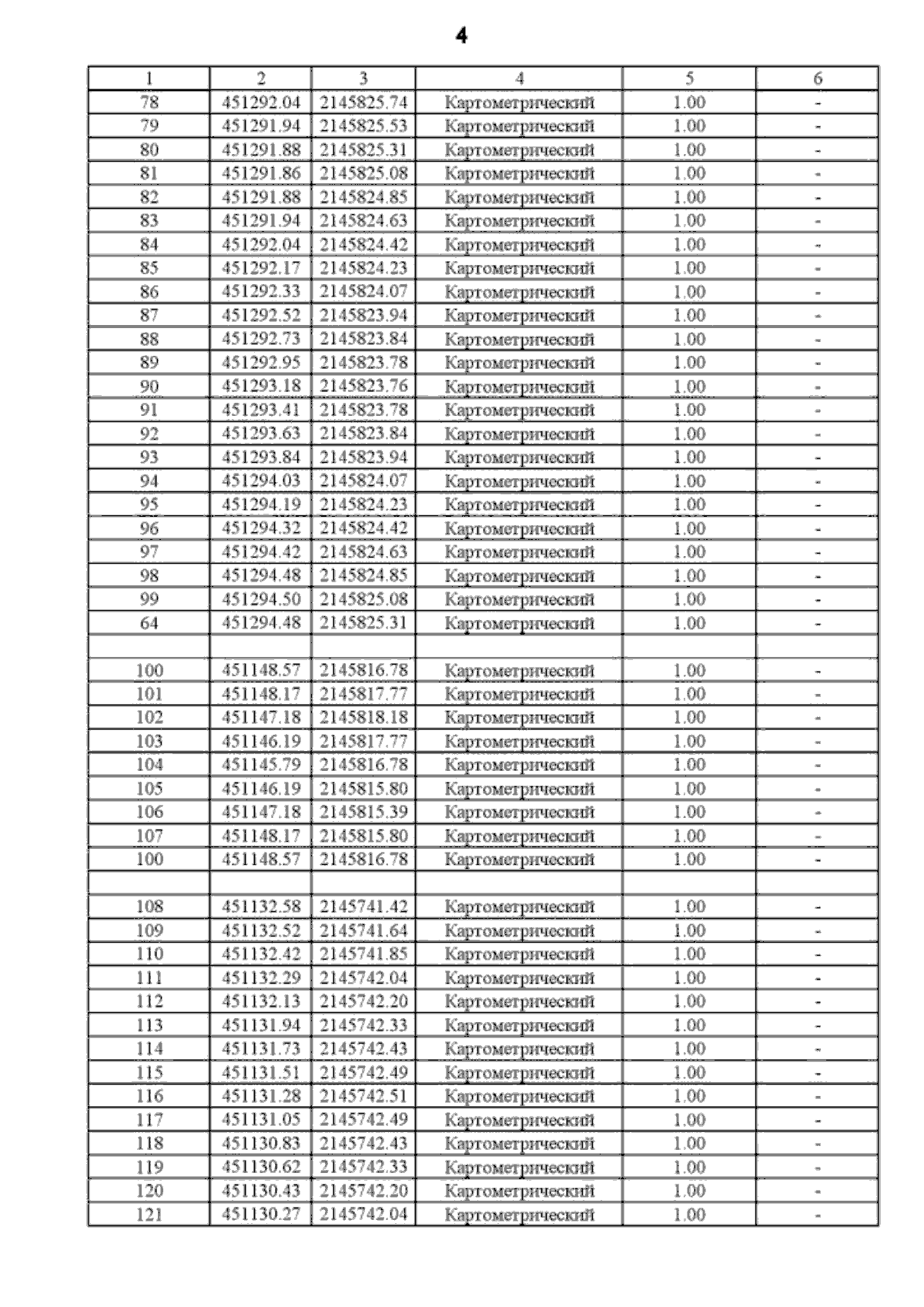
Страница №68 из 224:
Увеличить