Официальное опубликование правовых актов
ОФИЦИАЛЬНОЕ ОПУБЛИКОВАНИЕ
Приказ министерства архитектуры и градостроительства Воронежской области от 17.01.2024 № 45-01-04/7
"О внесении изменений в правила землепользования и застройки Кантемировского городского поселения Кантемировского муниципального района Воронежской области"
(Зарегистрирован 30.01.2024 № 94)
Номер опубликования: 3601202401310004
Дата опубликования: 31.01.2024
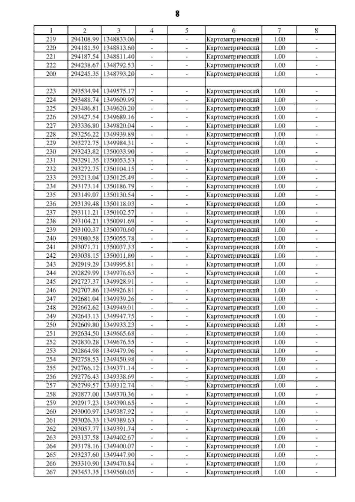
Страница №190 из 201:
Увеличить