Официальное опубликование правовых актов
ОФИЦИАЛЬНОЕ ОПУБЛИКОВАНИЕ
Приказ министерства архитектуры и градостроительства Воронежской области от 12.01.2024 № 45-01-04/2
"О внесении изменений в правила землепользования и застройки Ольховатского городского поселения Ольховатского муниципального района Воронежской области"
(Зарегистрирован 24.01.2024 № 62)
Номер опубликования: 3601202401260003
Дата опубликования: 26.01.2024
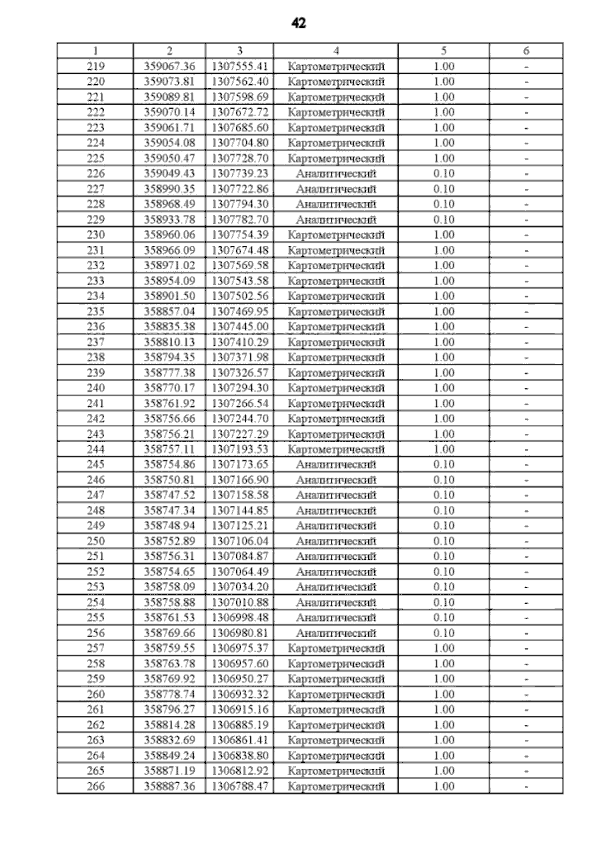
Страница №217 из 461:
Увеличить