Официальное опубликование правовых актов
ОФИЦИАЛЬНОЕ ОПУБЛИКОВАНИЕ
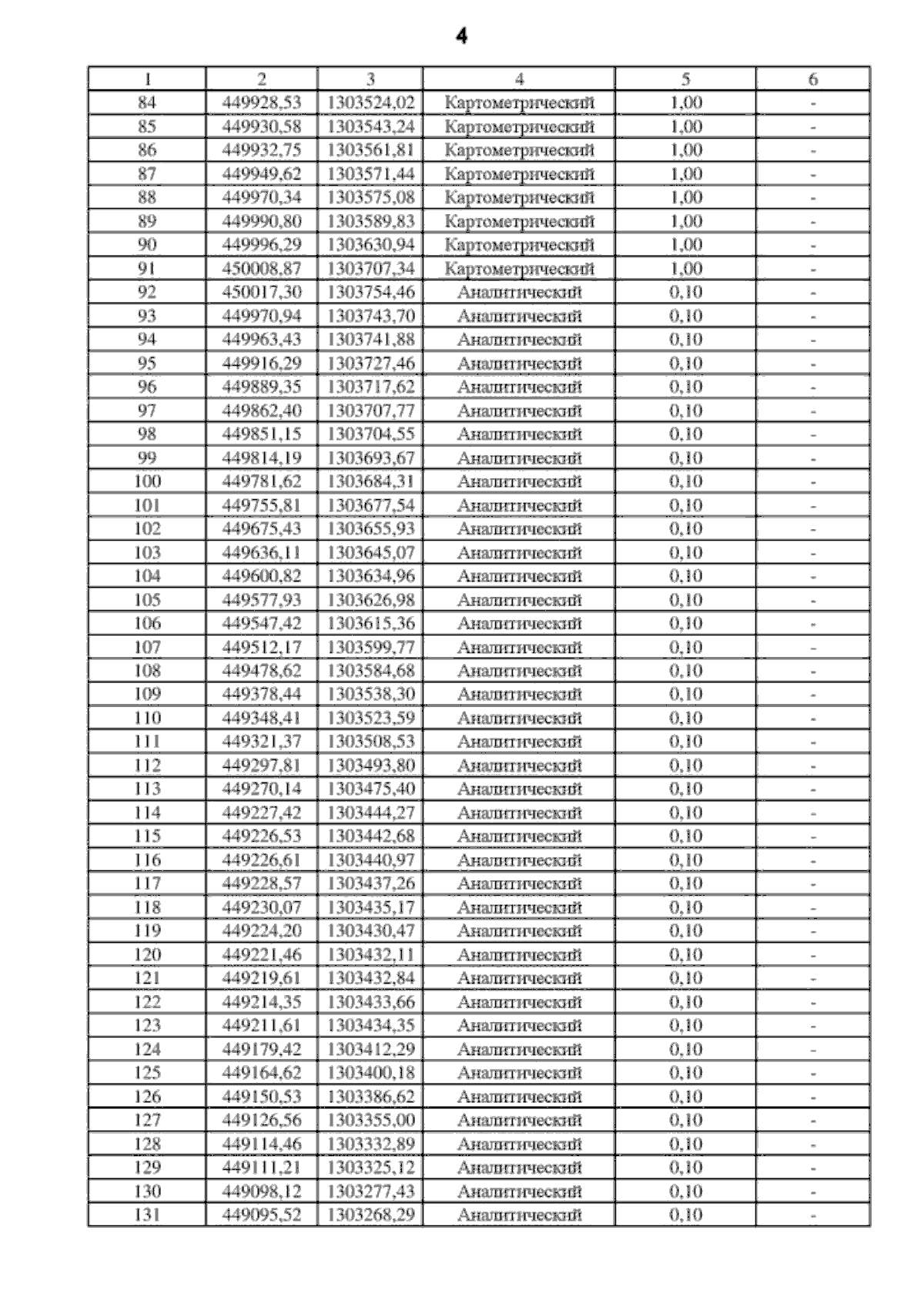
Приказ министерства архитектуры и градостроительства Воронежской области от 29.12.2023 № 45-01-04/1379
"О внесении изменений в правила землепользования и застройки Троицкого сельского поселения Лискинского муниципального района Воронежской области"
(Зарегистрирован 17.01.2024 № 11)
Номер опубликования: 3601202401240008
Дата опубликования: 24.01.2024
Страница №15 из 30:
Увеличить