Официальное опубликование правовых актов
ОФИЦИАЛЬНОЕ ОПУБЛИКОВАНИЕ
Приказ министерства архитектуры и градостроительства Воронежской области от 26.12.2023 № 45-01-04/1312
"О внесении изменений в правила землепользования и застройки Хохольского городского поселения Хохольского муниципального района Воронежской области"
(Зарегистрирован 29.12.2023 № 2205)
Номер опубликования: 3601202401120016
Дата опубликования: 12.01.2024
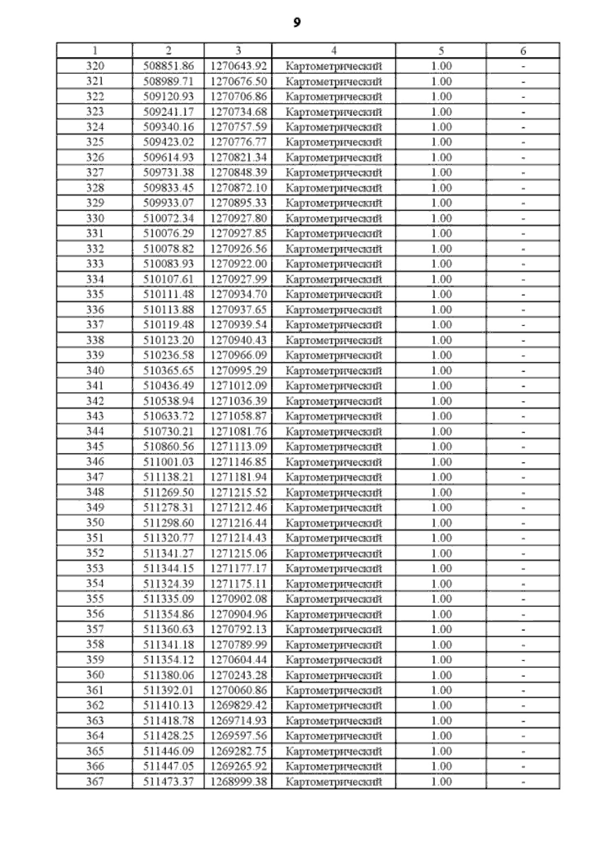
Страница №286 из 307:
Увеличить