Официальное опубликование правовых актов
ОФИЦИАЛЬНОЕ ОПУБЛИКОВАНИЕ
Приказ министерства тарифного регулирования Воронежской области от 14.12.2023 № 63/22
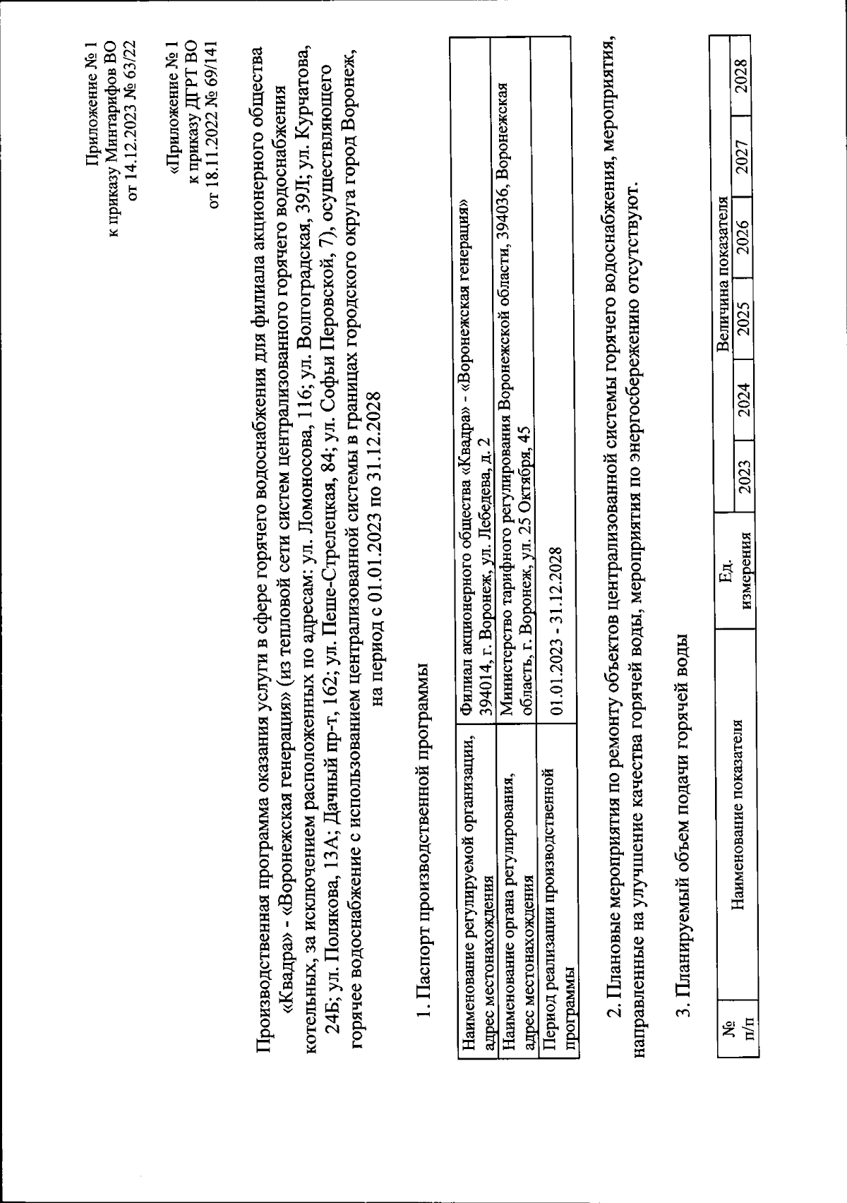
"О внесении изменений в приказ ДГРТ ВО от 18.11.2022 № 69/141 "Об установлении долгосрочных параметров регулирования деятельности и тарифов на горячую воду (горячее водоснабжение) для филиала публичного акционерного общества "Квадра" - "Воронежская генерация" (из тепловой сети систем централизованного горячего водоснабжения котельных, за исключением расположенных по адресам: ул. Ломоносова, 116; ул. Волгоградская, 39Л; ул. Курчатова, 24Б; ул. Полякова, 13А; ул. Сакко и Ванцетти, 80; Дачный пр-т, 162; ул. Пеше-Стрелецкая, 84; ул. Софьи Перовской, 7), осуществляющего горячее водоснабжение с использованием централизованной системы в границах городского округа город Воронеж, на период 2023 - 2028 годов"
(Зарегистрирован 18.12.2023 № 2041)
Номер опубликования: 3601202312200076
Дата опубликования: 20.12.2023
Страница №3 из 6:
Увеличить