Официальное опубликование правовых актов
ОФИЦИАЛЬНОЕ ОПУБЛИКОВАНИЕ
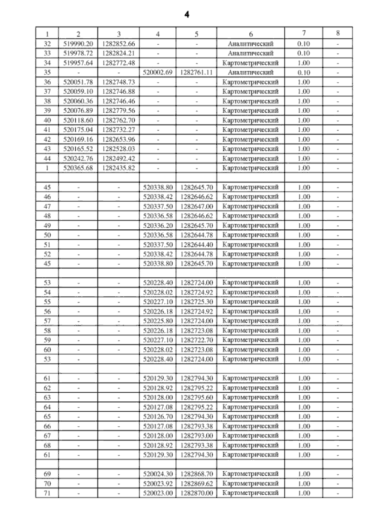
Приказ министерства архитектуры и градостроительства Воронежской области от 04.12.2023 № 45-01-04/1233
"О внесении изменений в правила землепользования и застройки Семилукского сельского поселения Семилукского муниципального района Воронежской области"
(Зарегистрирован 13.12.2023 № 1897)
Номер опубликования: 3601202312150013
Дата опубликования: 15.12.2023
Страница №27 из 96:
Увеличить