Официальное опубликование правовых актов
ОФИЦИАЛЬНОЕ ОПУБЛИКОВАНИЕ
Приказ министерства тарифного регулирования Воронежской области от 05.12.2023 № 60/5
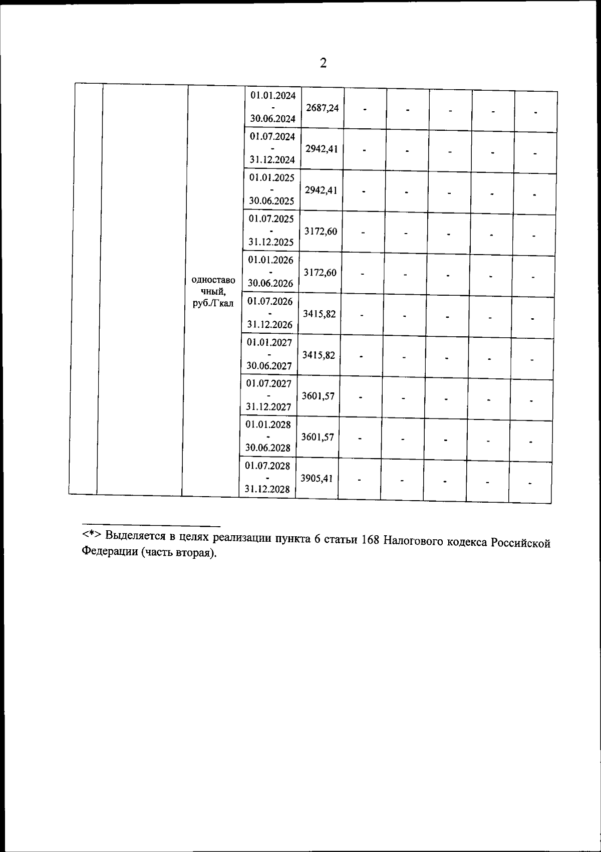
"Об установлении долгосрочных параметров регулирования деятельности и тарифов на тепловую энергию (мощность) для муниципального казенного предприятия городского округа город Воронеж "Воронежтеплосеть", поставляемую потребителям, расположенным на территории городского округа город Воронеж (из тепловой сети систем теплоснабжения котельных, расположенных по адресам: г. Воронеж, ул. Никитинская, 27, ул. Кольцовская, 44, ул. Еремеева, 25, ул. 9 Января, 49), на период 2024-2028 годов"
(Зарегистрирован 08.12.2023 № 1734)
Номер опубликования: 3601202312110047
Дата опубликования: 11.12.2023
Страница №5 из 5:
Увеличить