Официальное опубликование правовых актов
ОФИЦИАЛЬНОЕ ОПУБЛИКОВАНИЕ
Приказ министерства архитектуры и градостроительства Воронежской области от 29.11.2023 № 45-01-04/1212
"О внесении изменений в правила землепользования и застройки Россошкинского сельского поселения Репьёвского муниципального района Воронежской области"
(Зарегистрирован 07.12.2023 № 1731)
Номер опубликования: 3601202312080003
Дата опубликования: 08.12.2023
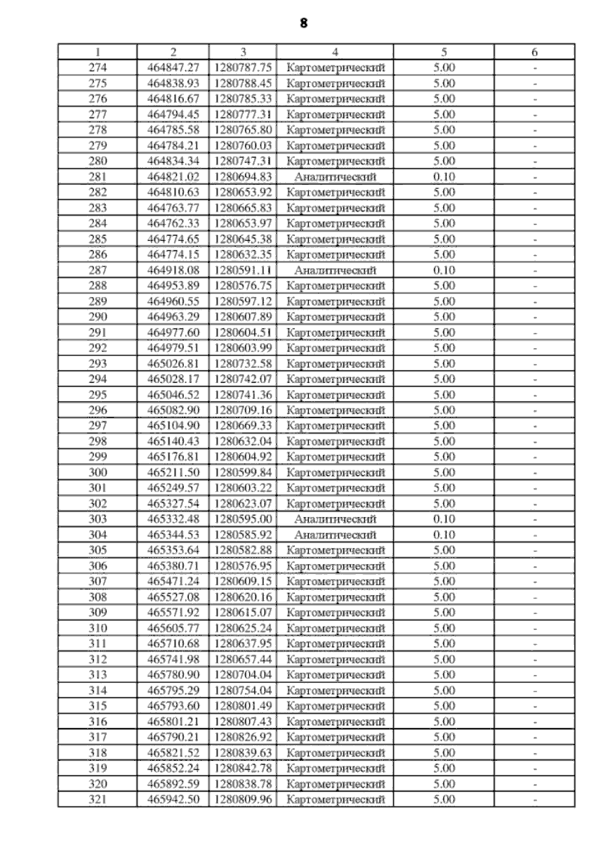
Страница №20 из 40:
Увеличить