Официальное опубликование правовых актов
ОФИЦИАЛЬНОЕ ОПУБЛИКОВАНИЕ
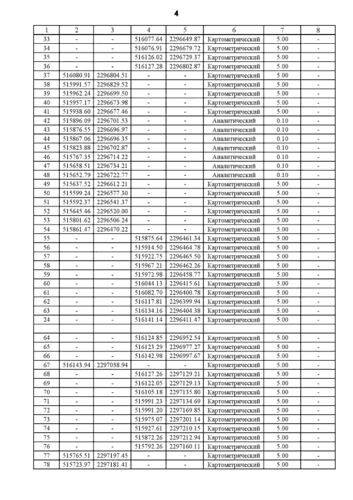
Приказ министерства архитектуры и градостроительства Воронежской области от 23.11.2023 № 45-01-04/1188
"О внесении изменений в правила землепользования и застройки Посевкинского сельского поселения Грибановского муниципального района Воронежской области"
(Зарегистрирован 01.12.2023 № 1658)
Номер опубликования: 3601202312060011
Дата опубликования: 06.12.2023
Страница №21 из 48:
Увеличить