Официальное опубликование правовых актов
ОФИЦИАЛЬНОЕ ОПУБЛИКОВАНИЕ
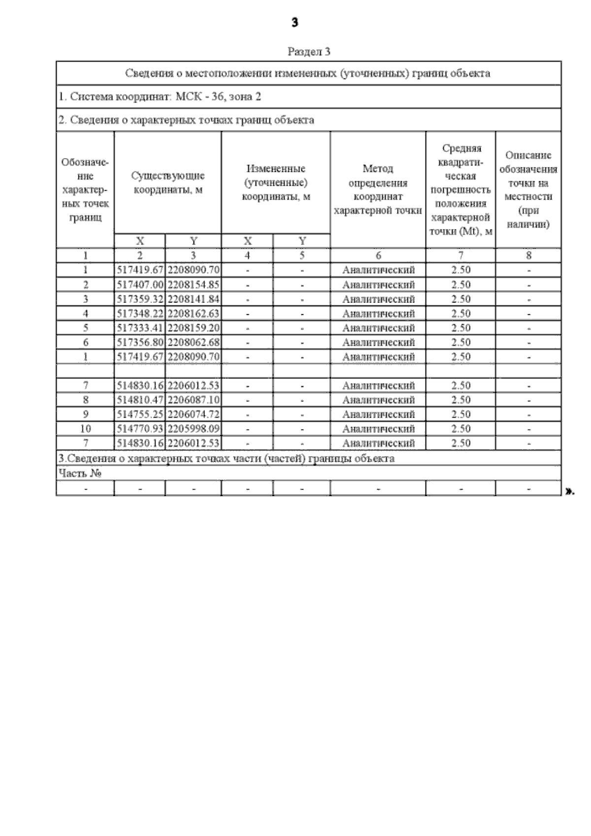
Приказ министерства архитектуры и градостроительства Воронежской области от 13.11.2023 № 45-01-04/1124
"О внесении изменений в правила землепользования и застройки Первоэртильского сельского поселения Эртильского муниципального района Воронежской области"
(Зарегистрирован 01.12.2023 № 1660)
Номер опубликования: 3601202312060007
Дата опубликования: 06.12.2023
Страница №80 из 80:
Увеличить