Официальное опубликование правовых актов
ОФИЦИАЛЬНОЕ ОПУБЛИКОВАНИЕ
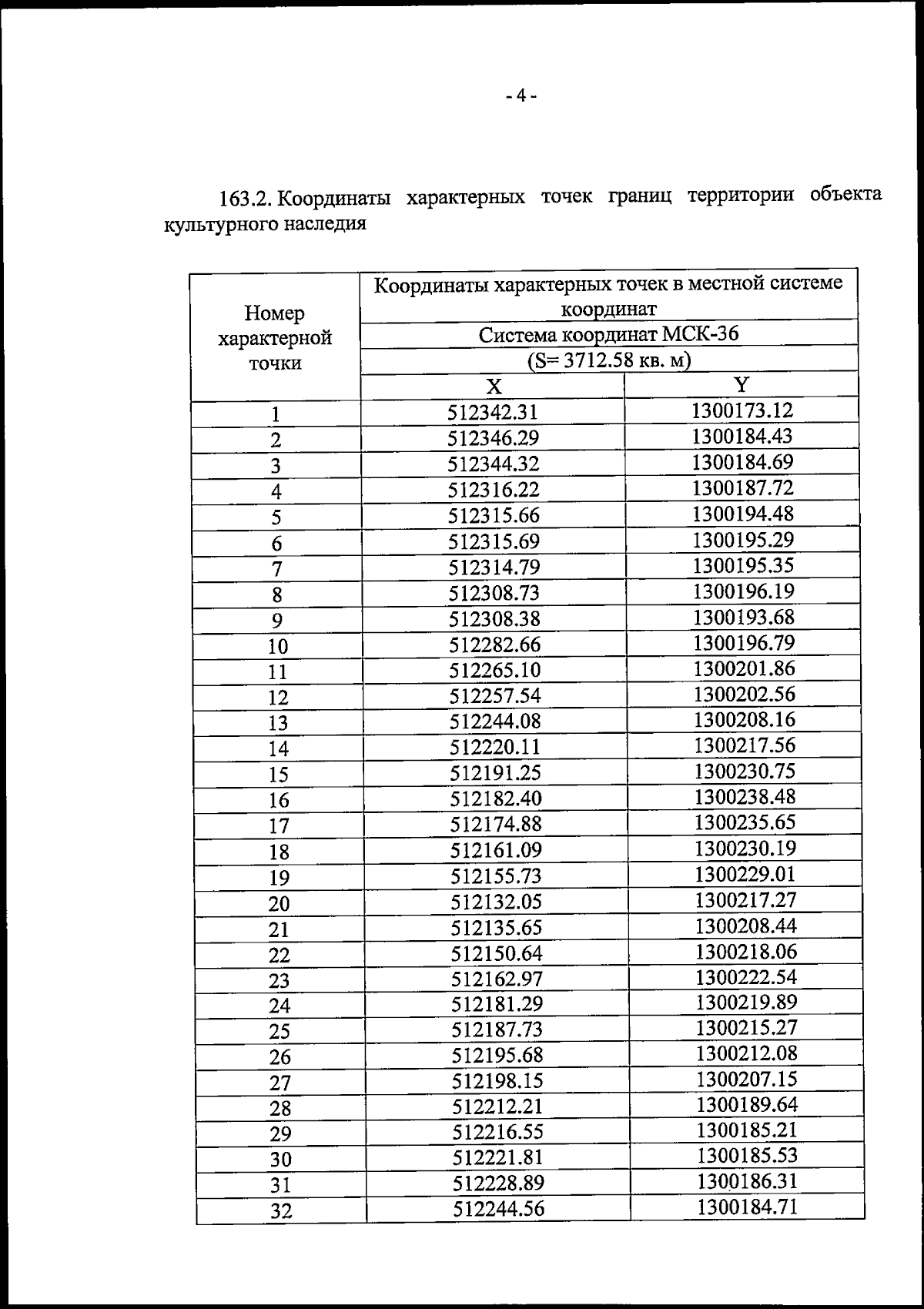
Приказ управления по охране объектов культурного наследия Воронежской области от 23.11.2023 № 71-01-07/612
"О внесении изменения в приказ управления культуры Воронежской области от 08.12.2009 № 620-ОД "Об утверждении границ территорий и режима использования территорий объектов культурного наследия регионального значения, расположенных в городском округе город Воронеж"
(Зарегистрирован 30.11.2023 № 1642)
Номер опубликования: 3601202312010010
Дата опубликования: 01.12.2023
Страница №4 из 8:
Увеличить