Официальное опубликование правовых актов
ОФИЦИАЛЬНОЕ ОПУБЛИКОВАНИЕ
Приказ министерства архитектуры и градостроительства Воронежской области от 13.11.2023 № 45-01-04/1116
"О внесении изменений в правила землепользования и застройки Андреевского сельского поселения Нижнедевицкого муниципального района Воронежской области"
(Зарегистрирован 22.11.2023 № 1513)
Номер опубликования: 3601202311290004
Дата опубликования: 29.11.2023
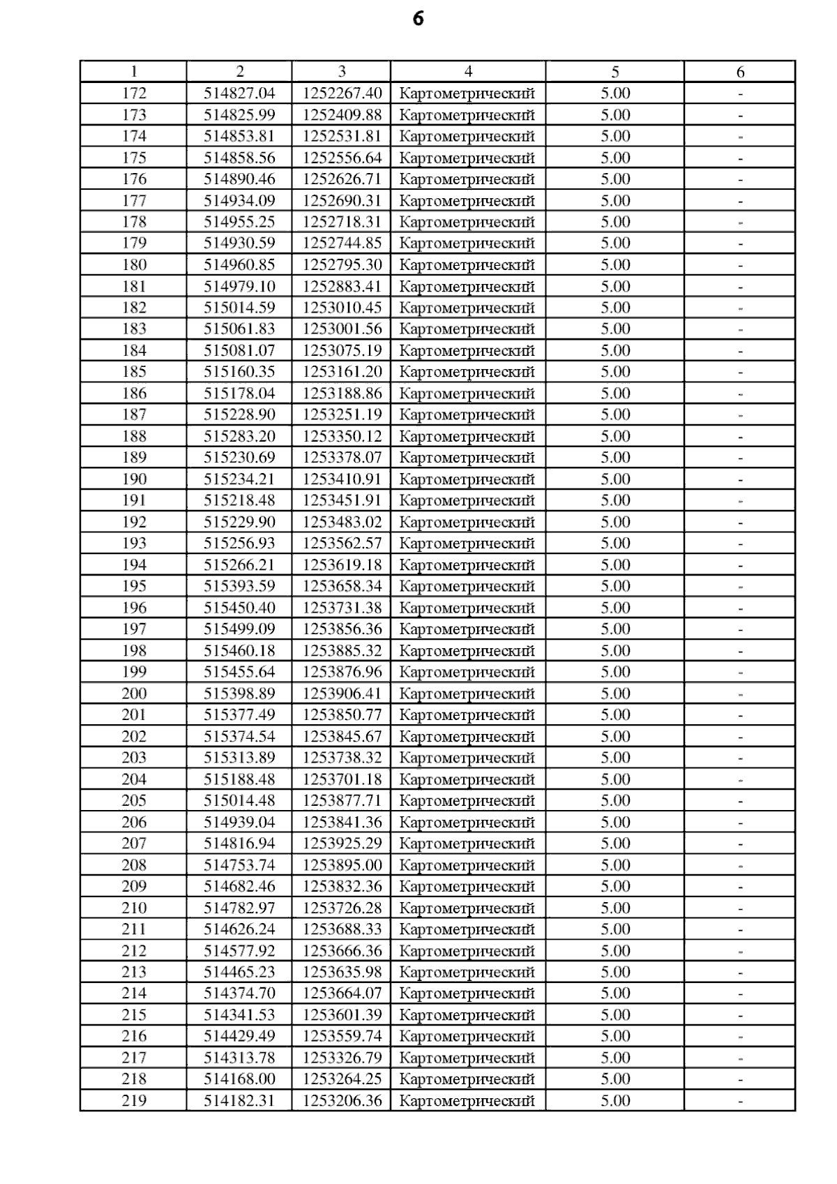
Страница №14 из 52:
Увеличить