Официальное опубликование правовых актов
ОФИЦИАЛЬНОЕ ОПУБЛИКОВАНИЕ
Приказ министерства тарифного регулирования Воронежской области от 21.11.2023 № 56/32
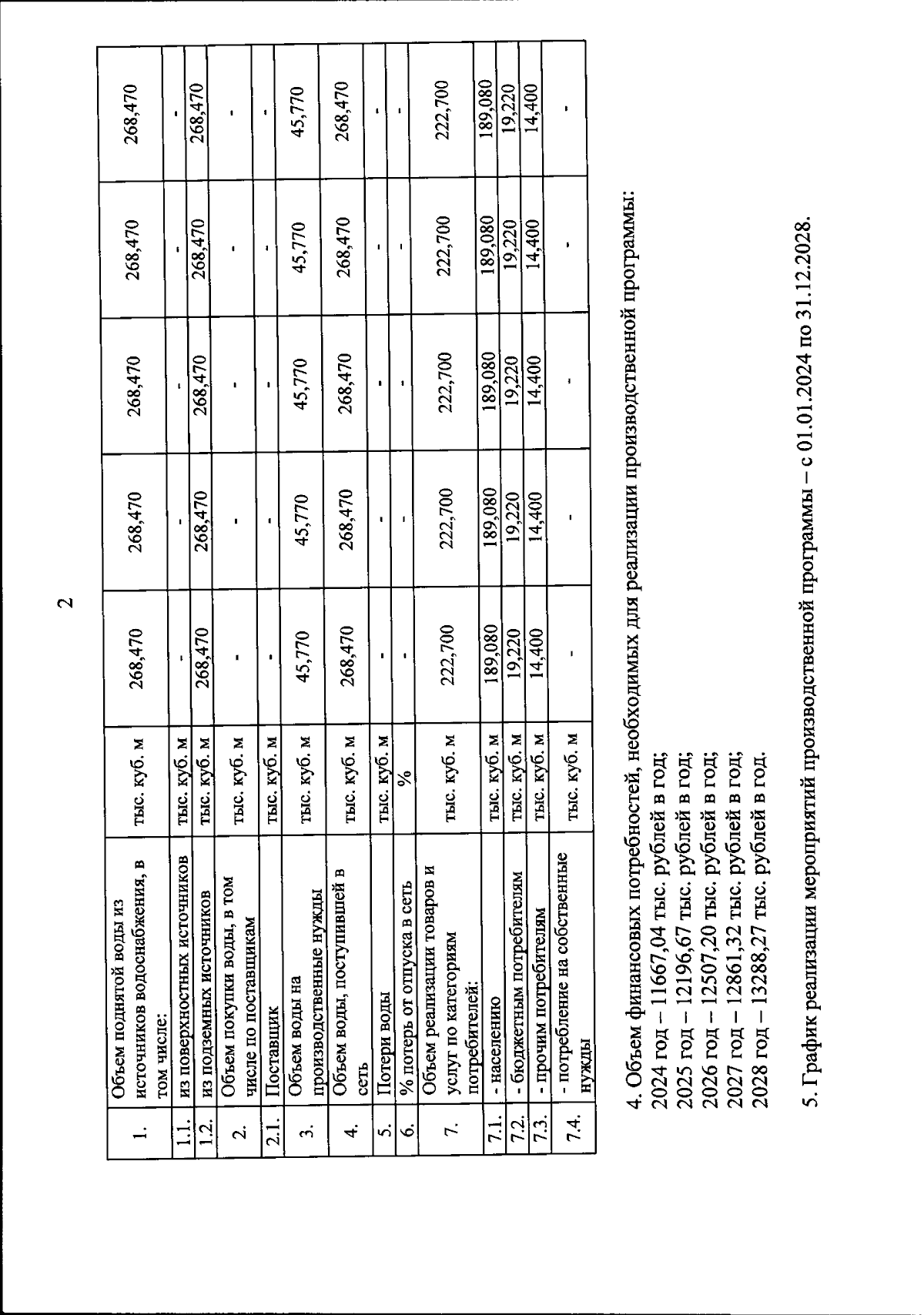
"Об установлении долгосрочных параметров регулирования деятельности и тарифов на питьевую воду (питьевое водоснабжение) для муниципального унитарного предприятия "Кантемировский водоканал", осуществляющего холодное водоснабжение потребителей в границах Кантемировского городского поселения Воронежской области, на период 2024-2028 годов"
(Зарегистрирован 27.11.2023 № 1564)
Номер опубликования: 3601202311280013
Дата опубликования: 28.11.2023
Страница №4 из 8:
Увеличить