Официальное опубликование правовых актов
ОФИЦИАЛЬНОЕ ОПУБЛИКОВАНИЕ
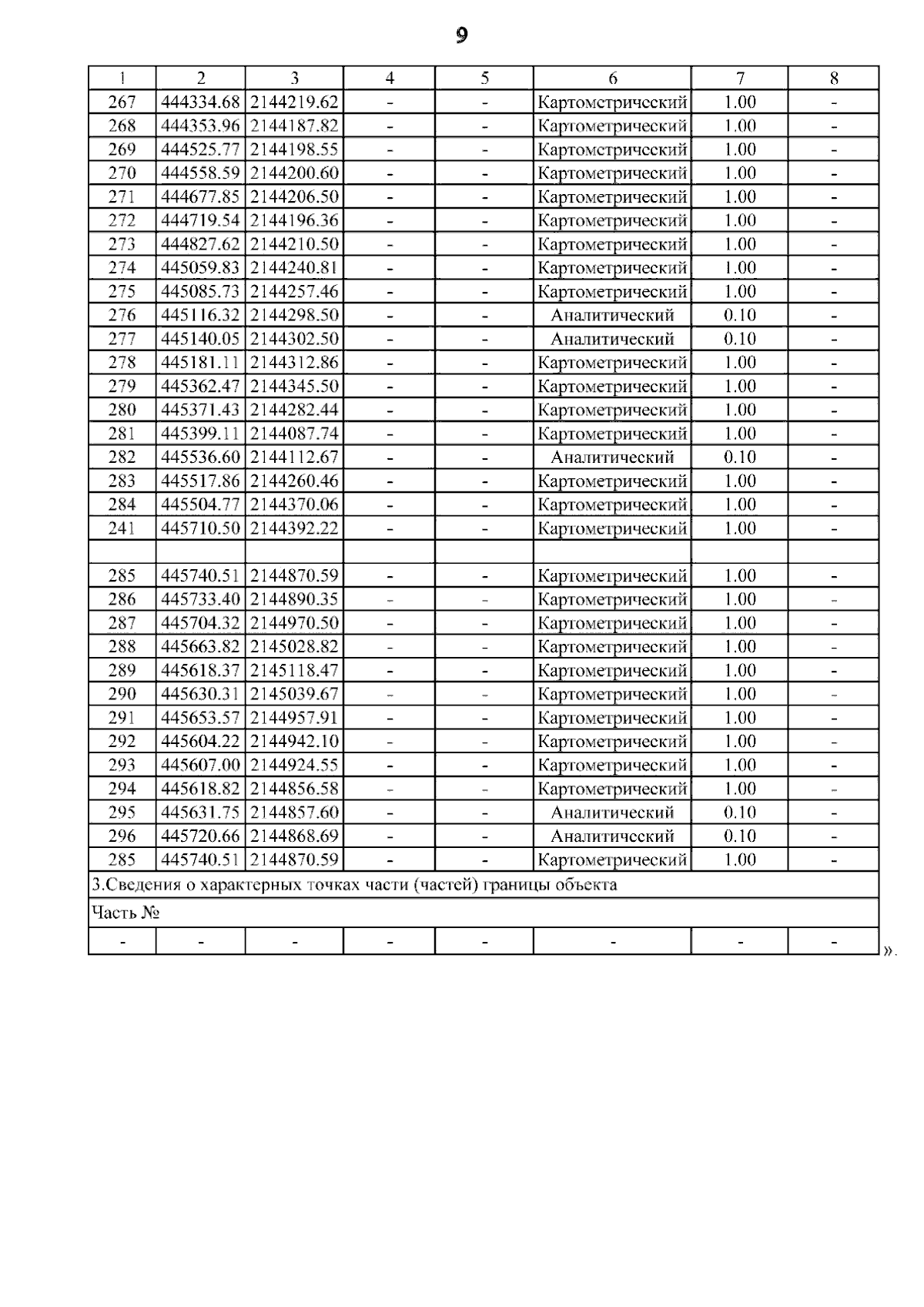
Приказ министерства архитектуры и градостроительства Воронежской области от 13.11.2023 № 45-01-04/1121
"О внесении изменений в правила землепользования и застройки Ясенковского сельского поселения Бобровского муниципального района Воронежской области"
(Зарегистрирован 22.11.2023 № 1523)
Номер опубликования: 3601202311270007
Дата опубликования: 27.11.2023
Страница №14 из 30:
Увеличить