Официальное опубликование правовых актов
ОФИЦИАЛЬНОЕ ОПУБЛИКОВАНИЕ
Приказ министерства архитектуры и градостроительства Воронежской области от 13.11.2023 № 45-01-04/1114
"О внесении изменений в правила землепользования и застройки Александро-Донского сельского поселения Павловского муниципального района Воронежской области"
(Зарегистрирован 22.11.2023 № 1517)
Номер опубликования: 3601202311270006
Дата опубликования: 27.11.2023
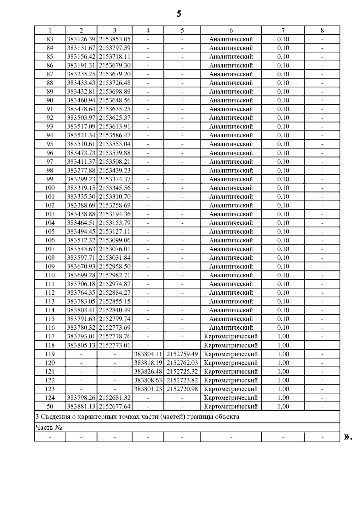
Страница №42 из 42:
Увеличить