Официальное опубликование правовых актов
ОФИЦИАЛЬНОЕ ОПУБЛИКОВАНИЕ
Приказ министерства архитектуры и градостроительства Воронежской области от 08.11.2023 № 45-01-04/1079
"О внесении изменений в правила землепользования и застройки Латненского городского поселения Семилукского муниципального района Воронежской области"
(Зарегистрирован 22.11.2023 № 1515)
Номер опубликования: 3601202311270004
Дата опубликования: 27.11.2023
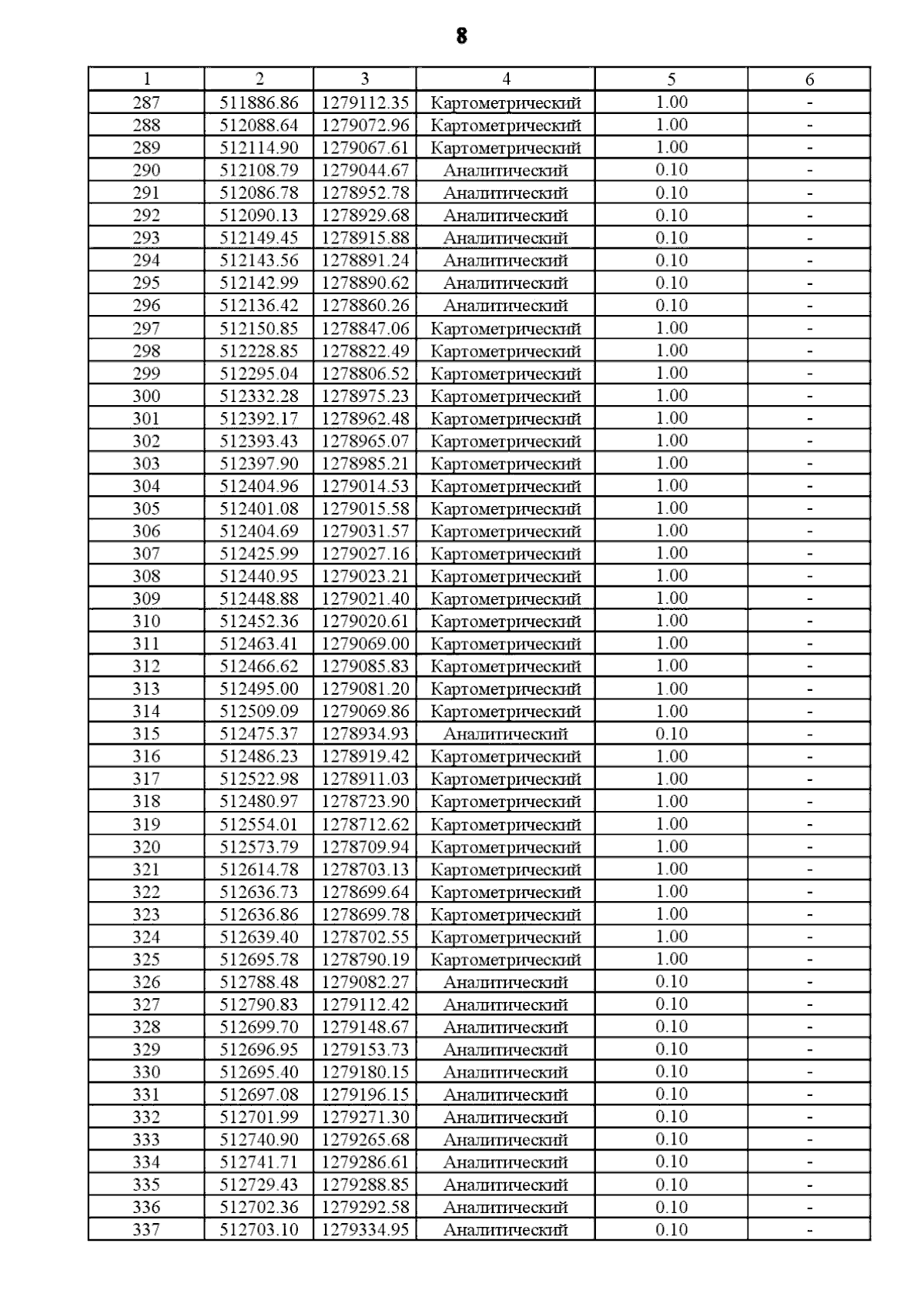
Страница №17 из 55:
Увеличить