Официальное опубликование правовых актов
ОФИЦИАЛЬНОЕ ОПУБЛИКОВАНИЕ
Приказ министерства тарифного регулирования Воронежской области от 14.11.2023 № 54/32
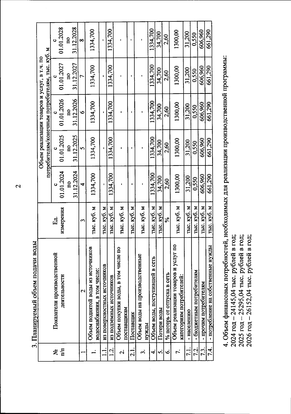
"Об установлении долгосрочных параметров регулирования деятельности и тарифов на питьевую воду (питьевое водоснабжение) для открытого акционерного общества "Российские железные дороги", осуществляющего холодное водоснабжение потребителей в границах Хреновского сельского поселения Бобровского муниципального района, городского поселения - город Новохоперск Новохоперского муниципального района, Воронцовского сельского поселения Павловского муниципального района, городского поселения - город Поворино Поворинского муниципального района, Таловского городского поселения (рабочий посёлок Таловая) Таловского муниципального района Воронежской области, на период 2024-2028 годов"
(Зарегистрирован 21.11.2023 № 1488)
Номер опубликования: 3601202311230011
Дата опубликования: 23.11.2023
Страница №5 из 9:
Увеличить