Приказ министерства тарифного регулирования Воронежской области от 09.11.2023 № 53/3
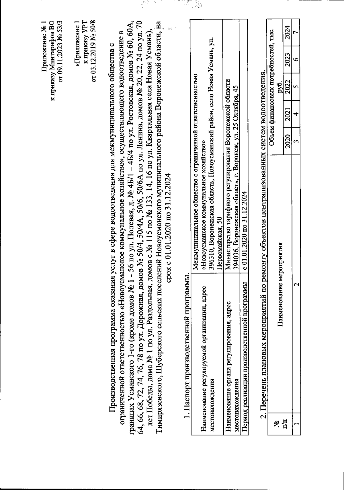
"О внесении изменений в приказ УРТ от 03.12.2019 № 50/8 "Об установлении долгосрочных параметров регулирования деятельности и тарифов на водоотведение для межмуниципального общества с ограниченной ответственностью "Новоусманское коммунальное хозяйство", осуществляющего водоотведение в границах Усманского 1-го (кроме домов № 1 - 56 по ул. Полевая, д. № 4Б/1 – 4Б/4 по ул. Ростовская, домов № 60, 60А, 64, 66, 68, 72, 74, 76, 78 по ул. Дорожная, домов № 50/4, 50/4А, 50/6, 50/6А по ул. Ленина, домов № 20, 22, 24 по ул. 70 лет Победы, дома № 1 по ул. Раздольная, домов с № 115 по № 133, 14, 16 по ул. Квартальная села Новая Усмань), Тимирязевского, Шуберского сельских поселений Новоусманского муниципального района Воронежской области, на период 2020-2024 годов"
(Зарегистрирован 15.11.2023 № 1431)
"О внесении изменений в приказ УРТ от 03.12.2019 № 50/8 "Об установлении долгосрочных параметров регулирования деятельности и тарифов на водоотведение для межмуниципального общества с ограниченной ответственностью "Новоусманское коммунальное хозяйство", осуществляющего водоотведение в границах Усманского 1-го (кроме домов № 1 - 56 по ул. Полевая, д. № 4Б/1 – 4Б/4 по ул. Ростовская, домов № 60, 60А, 64, 66, 68, 72, 74, 76, 78 по ул. Дорожная, домов № 50/4, 50/4А, 50/6, 50/6А по ул. Ленина, домов № 20, 22, 24 по ул. 70 лет Победы, дома № 1 по ул. Раздольная, домов с № 115 по № 133, 14, 16 по ул. Квартальная села Новая Усмань), Тимирязевского, Шуберского сельских поселений Новоусманского муниципального района Воронежской области, на период 2020-2024 годов"
(Зарегистрирован 15.11.2023 № 1431)
Номер опубликования: 3601202311160013
Дата опубликования:
16.11.2023
