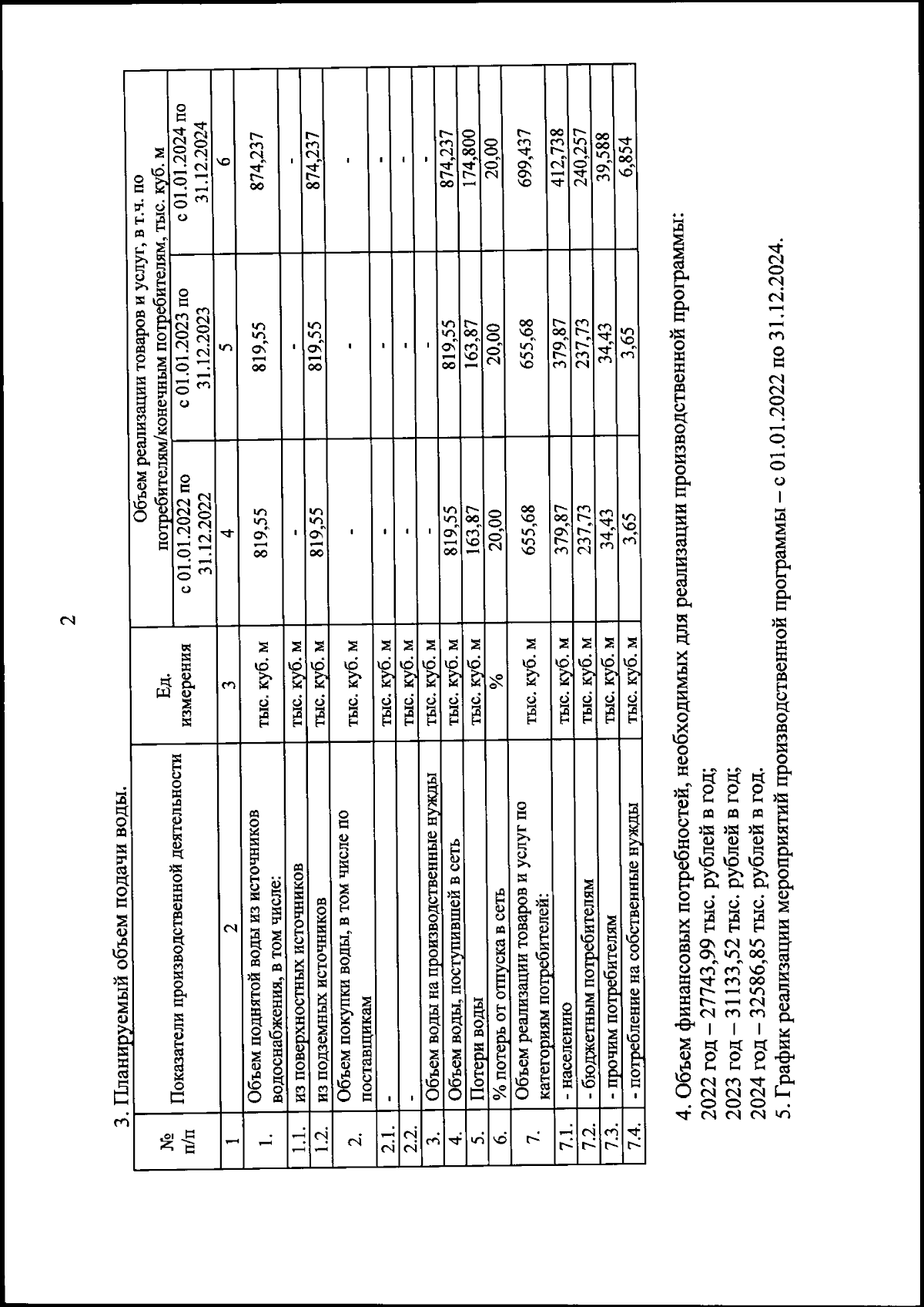
Приказ министерства тарифного регулирования Воронежской области от 07.11.2023 № 52/42
"О внесении изменений в приказ ДГРТ ВО от 07.12.2021 № 66/5 "Об установлении долгосрочных параметров регулирования деятельности и тарифов на питьевую воду (питьевое водоснабжение) для муниципального казенного предприятия "Богучарский коммунальный сервис", осуществляющего холодное водоснабжение потребителей в границах городского поселения - город Богучар Богучарского муниципального района Воронежской области, на период 2022-2024 годов"
(Зарегистрирован 10.11.2023 № 1392)
"О внесении изменений в приказ ДГРТ ВО от 07.12.2021 № 66/5 "Об установлении долгосрочных параметров регулирования деятельности и тарифов на питьевую воду (питьевое водоснабжение) для муниципального казенного предприятия "Богучарский коммунальный сервис", осуществляющего холодное водоснабжение потребителей в границах городского поселения - город Богучар Богучарского муниципального района Воронежской области, на период 2022-2024 годов"
(Зарегистрирован 10.11.2023 № 1392)
Номер опубликования: 3601202311100026
Дата опубликования:
10.11.2023
