Официальное опубликование правовых актов
ОФИЦИАЛЬНОЕ ОПУБЛИКОВАНИЕ
Приказ министерства тарифного регулирования Воронежской области от 07.11.2023 № 52/50
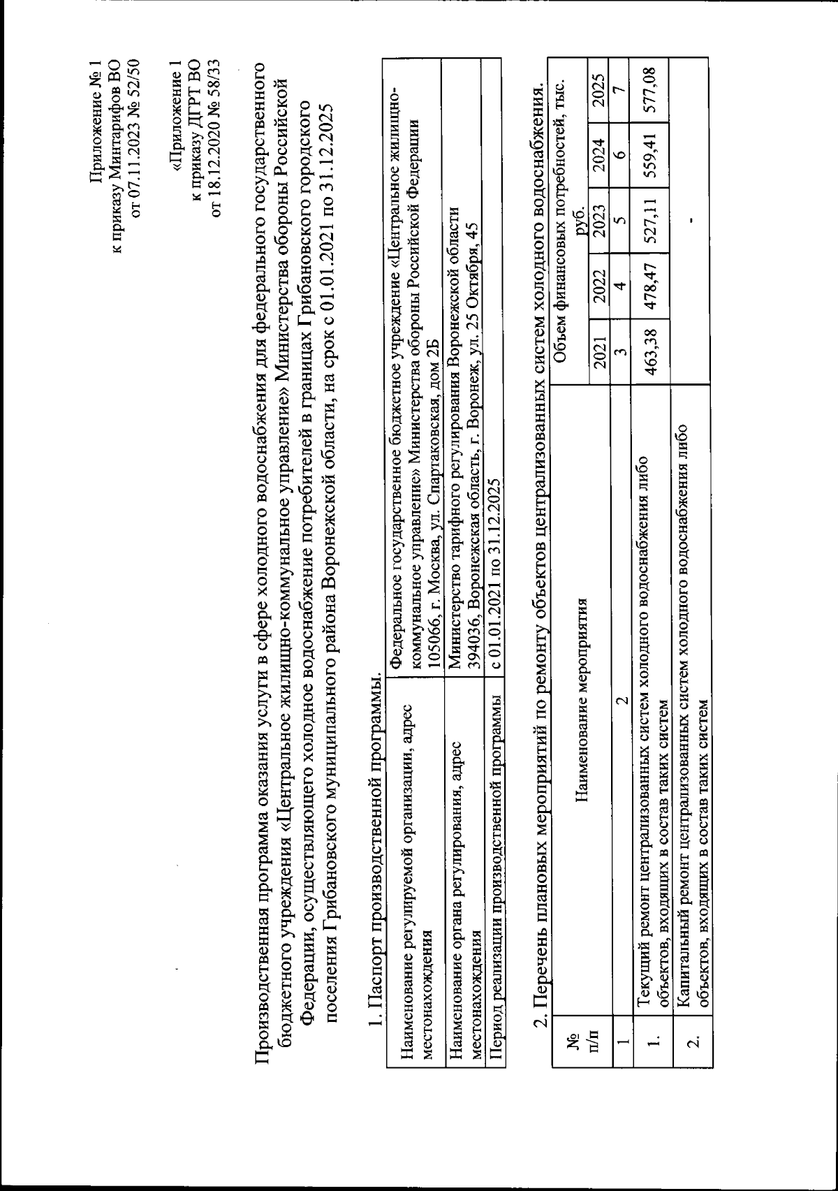
"О внесении изменения в приказ ДГРТ ВО от 18.12.2020 № 58/33 "Об установлении долгосрочных параметров регулирования деятельности и тарифов на питьевую воду (питьевое водоснабжение) для федерального государственного бюджетного учреждения "Центральное жилищно-коммунальное управление" Министерства обороны Российской Федерации, осуществляющего холодное водоснабжение потребителей в границах Грибановского городского поселения Грибановского муниципального района Воронежской области, на период 2021-2025 годов","
(Зарегистрирован 10.11.2023 № 1398)
Номер опубликования: 3601202311100023
Дата опубликования: 10.11.2023
Страница №3 из 7:
Увеличить