Официальное опубликование правовых актов
ОФИЦИАЛЬНОЕ ОПУБЛИКОВАНИЕ
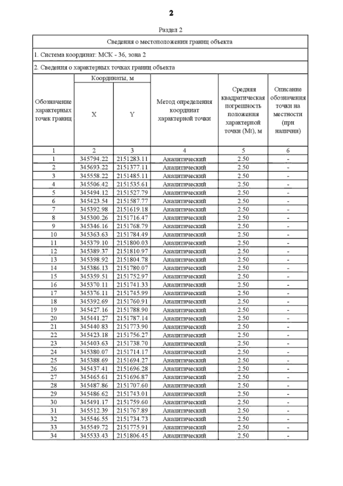
Приказ Департамента архитектуры и градостроительства Воронежской области от 02.10.2023 № 45-01-04/967
"О внесении изменений в правила землепользования и застройки Ольховатского сельского поселения Верхнемамонского муниципального района Воронежской области"
(Зарегистрирован 18.10.2023 № 1168)
Номер опубликования: 3601202310200003
Дата опубликования: 20.10.2023
Страница №10 из 14:
Увеличить