Официальное опубликование правовых актов
ОФИЦИАЛЬНОЕ ОПУБЛИКОВАНИЕ
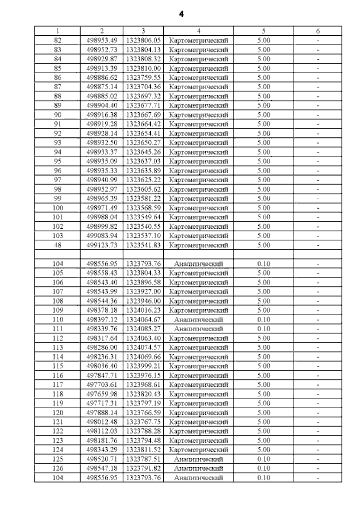
Приказ Департамента архитектуры и градостроительства Воронежской области от 28.09.2023 № 45-01-04/960
"О внесении изменения в правила землепользования и застройки Рогачёвского сельского поселения Новоусманского муниципального района Воронежской области"
(Зарегистрирован 11.10.2023 № 1112)
Номер опубликования: 3601202310160003
Дата опубликования: 16.10.2023
Страница №10 из 115:
Увеличить